Официальное опубликование правовых актов
ОФИЦИАЛЬНОЕ ОПУБЛИКОВАНИЕ
Постановление Главного управления архитектуры и градостроительства Рязанской области от 21.05.2025 № 393-п
"Об утверждении изменений в правила землепользования и застройки муниципального образования - Оськинское сельское поселение Клепиковского муниципального района Рязанской области"
(Зарегистрирован 22.05.2025 № 605)
Номер опубликования: 6201202505260004
Дата опубликования: 26.05.2025
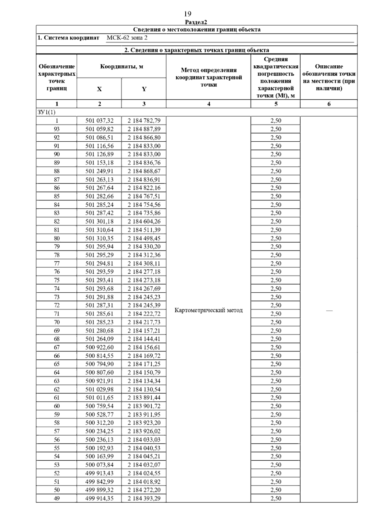
Страница №43 из 169:
Увеличить