Официальное опубликование правовых актов
ОФИЦИАЛЬНОЕ ОПУБЛИКОВАНИЕ
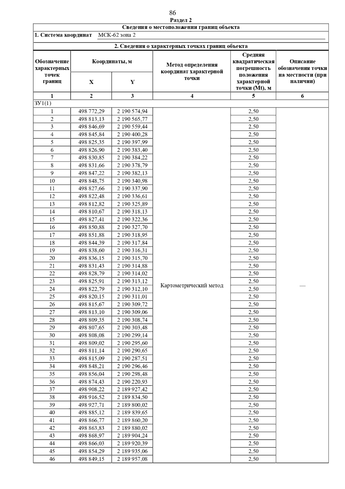
Постановление Главного управления архитектуры и градостроительства Рязанской области от 19.05.2025 № 379-п
"Об утверждении изменений в правила землепользования и застройки муниципального образования - Уткинское сельское поселение Клепиковского муниципального района Рязанской области"
(Зарегистрирован 19.05.2025 № 584)
Номер опубликования: 6201202505220018
Дата опубликования: 22.05.2025
Страница №97 из 112:
Увеличить