Официальное опубликование правовых актов
ОФИЦИАЛЬНОЕ ОПУБЛИКОВАНИЕ
Постановление Главного управления архитектуры и градостроительства Рязанской области от 19.05.2025 № 376-п
"Об утверждении изменений в правила землепользования и застройки муниципального образования - Окское сельское поселение Рязанского муниципального района Рязанской области"
(Зарегистрирован 19.05.2025 № 581)
Номер опубликования: 6201202505220010
Дата опубликования: 22.05.2025
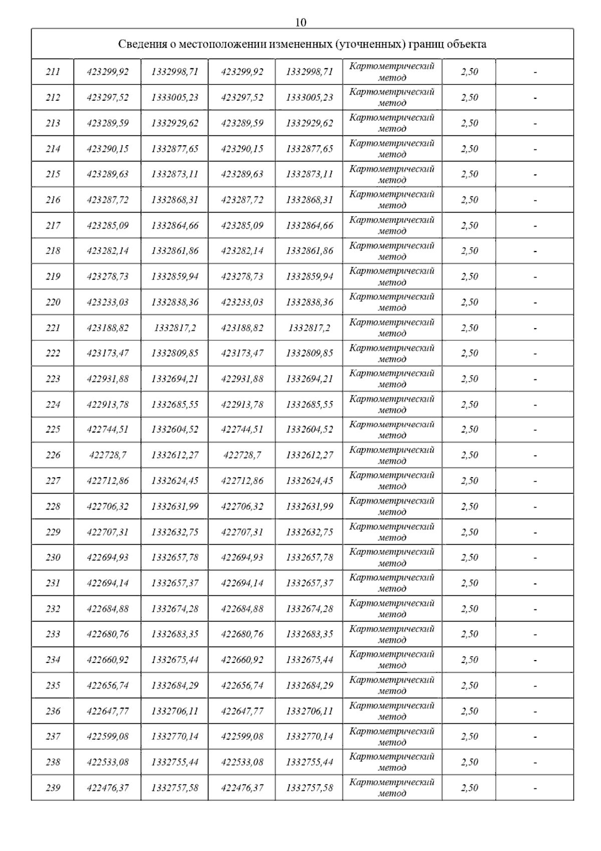
Страница №12 из 27:
Увеличить