Официальное опубликование правовых актов
ОФИЦИАЛЬНОЕ ОПУБЛИКОВАНИЕ
Постановление Главного управления архитектуры и градостроительства Рязанской области от 16.05.2025 № 373-п
"Об утверждении изменений в правила землепользования и застройки муниципального образования - Екимовское сельское поселение Рязанского муниципального района Рязанской области"
(Зарегистрирован 19.05.2025 № 578)
Номер опубликования: 6201202505220008
Дата опубликования: 22.05.2025
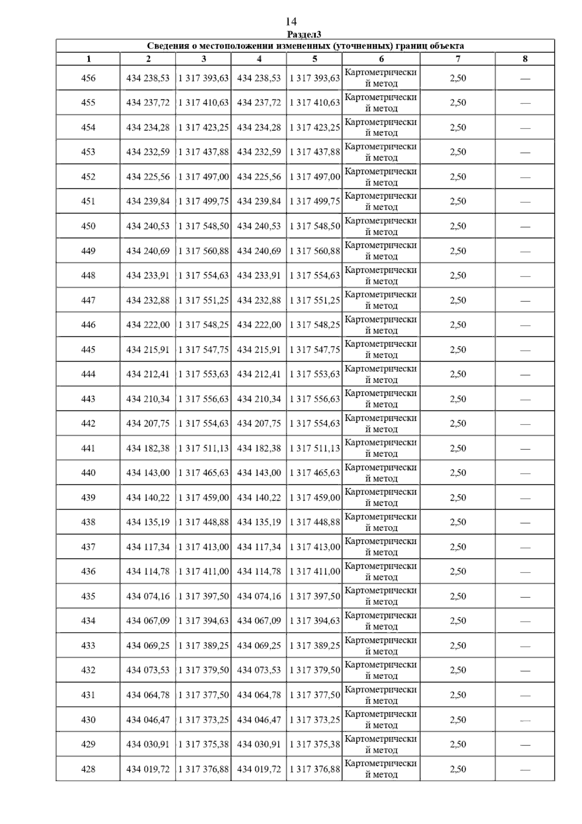
Страница №16 из 33:
Увеличить