Официальное опубликование правовых актов
ОФИЦИАЛЬНОЕ ОПУБЛИКОВАНИЕ
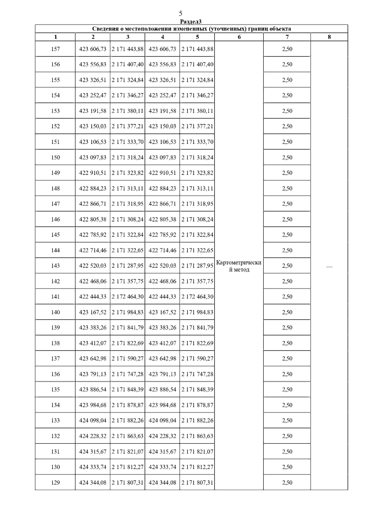
Постановление Главного управления архитектуры и градостроительства Рязанской области от 19.05.2025 № 377-п
"Об утверждении изменений в правила землепользования и застройки муниципального образования – Панинское сельское поселение Спасского муниципального района Рязанской области"
(Зарегистрирован 19.05.2025 № 582)
Номер опубликования: 6201202505220004
Дата опубликования: 22.05.2025
Страница №15 из 22:
Увеличить