Официальное опубликование правовых актов
ОФИЦИАЛЬНОЕ ОПУБЛИКОВАНИЕ
Постановление Главного управления архитектуры и градостроительства Рязанской области от 14.05.2025 № 359-п
"О внесении изменений в правила землепользования и застройки муниципального образования – Ряжский муниципальный округ Рязанской области применительно к территории Поплевинского сельского округа Ряжского района Рязанской области"
(Зарегистрирован 15.05.2025 № 560)
Номер опубликования: 6201202505200007
Дата опубликования: 20.05.2025
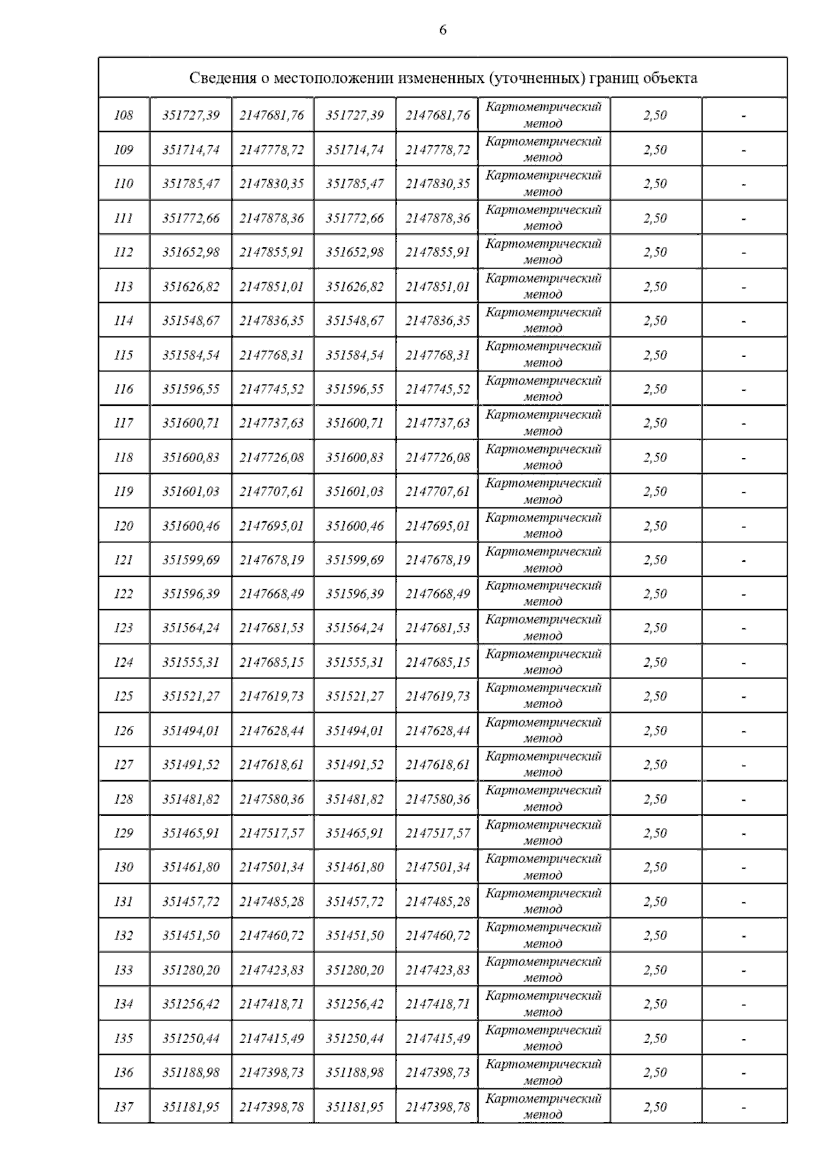
Страница №9 из 16:
Увеличить