Официальное опубликование правовых актов
ОФИЦИАЛЬНОЕ ОПУБЛИКОВАНИЕ
Постановление Главного управления архитектуры и градостроительства Рязанской области от 13.05.2025 № 346-п
"Об утверждении изменений в правила землепользования и застройки муниципального образования - Чурилковское сельское поселение Рыбновского муниципального района Рязанской области"
(Зарегистрирован 14.05.2025 № 547)
Номер опубликования: 6201202505160004
Дата опубликования: 16.05.2025
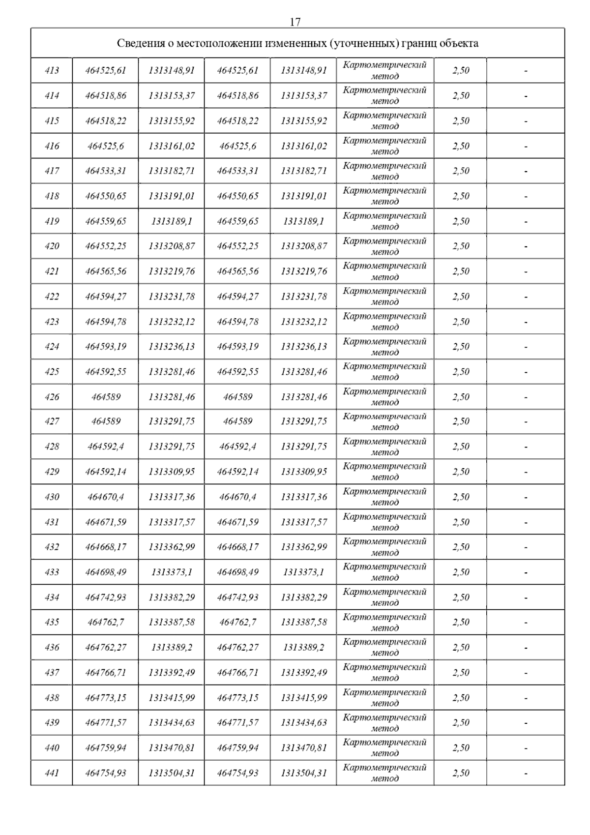
Страница №35 из 39:
Увеличить