Официальное опубликование правовых актов
ОФИЦИАЛЬНОЕ ОПУБЛИКОВАНИЕ
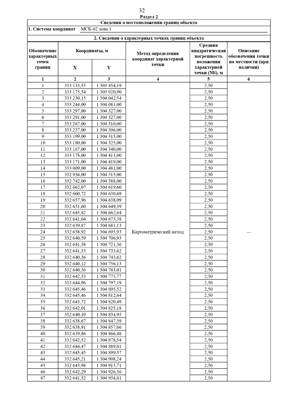
Постановление Главного управления архитектуры и градостроительства Рязанской области от 06.05.2025 № 333-п
"Об утверждении генерального плана муниципального образования – Богородицкое сельское поселение Милославского муниципального района Рязанской области"
(Зарегистрирован 07.05.2025 № 532)
Номер опубликования: 6201202505140003
Дата опубликования: 14.05.2025
Страница №42 из 46:
Увеличить