Официальное опубликование правовых актов
ОФИЦИАЛЬНОЕ ОПУБЛИКОВАНИЕ
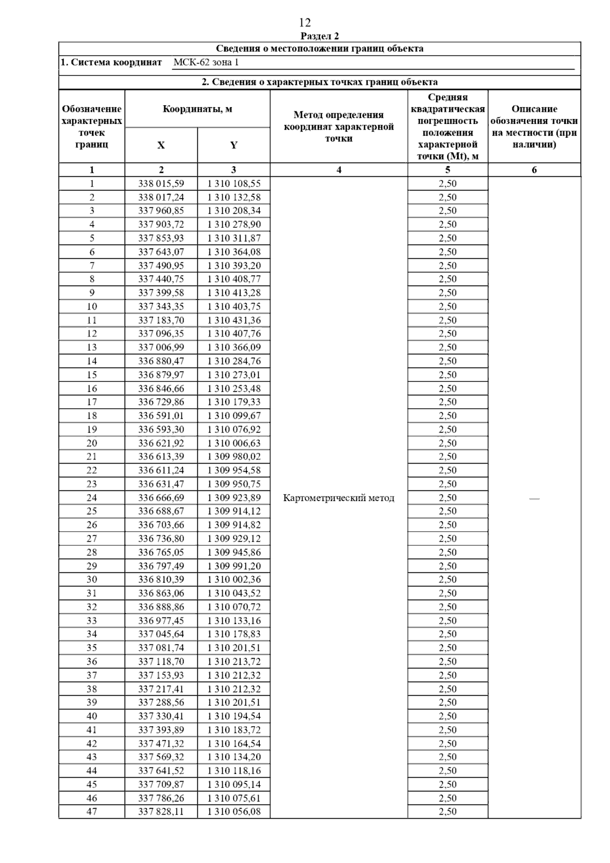
Постановление Главного управления архитектуры и градостроительства Рязанской области от 06.05.2025 № 334-п
"Об утверждении правил землепользования и застройки муниципального образования – Богородицкое сельское поселение Милославского муниципального района Рязанской области"
(Зарегистрирован 07.05.2025 № 533)
Номер опубликования: 6201202505140001
Дата опубликования: 14.05.2025
Страница №38 из 93:
Увеличить