Официальное опубликование правовых актов
ОФИЦИАЛЬНОЕ ОПУБЛИКОВАНИЕ
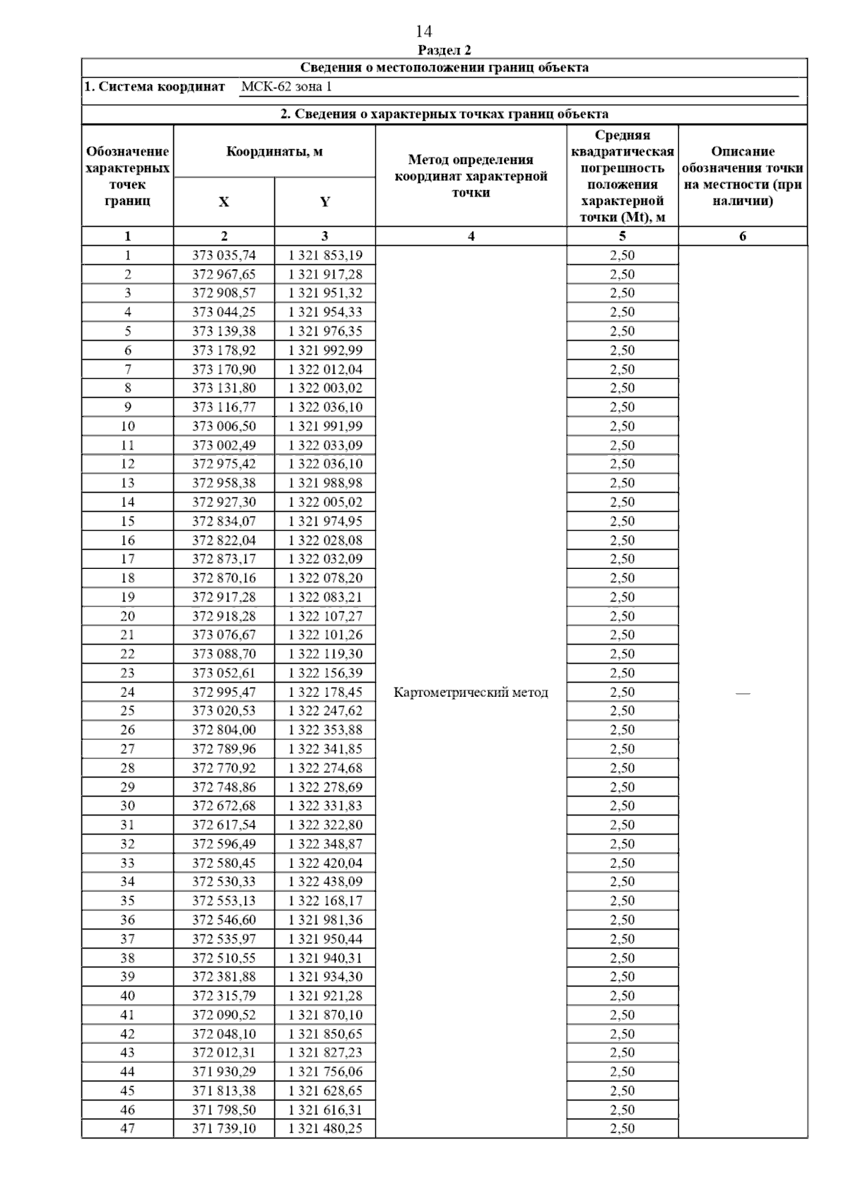
Постановление Главного управления архитектуры и градостроительства Рязанской области от 05.05.2025 № 330-п
"Об утверждении правил землепользования и застройки муниципального образования – Мамоновское сельское поселение Пронского муниципального района Рязанской области"
(Зарегистрирован 05.05.2025 № 526)
Номер опубликования: 6201202505060002
Дата опубликования: 06.05.2025
Страница №44 из 86:
Увеличить