Официальное опубликование правовых актов
ОФИЦИАЛЬНОЕ ОПУБЛИКОВАНИЕ
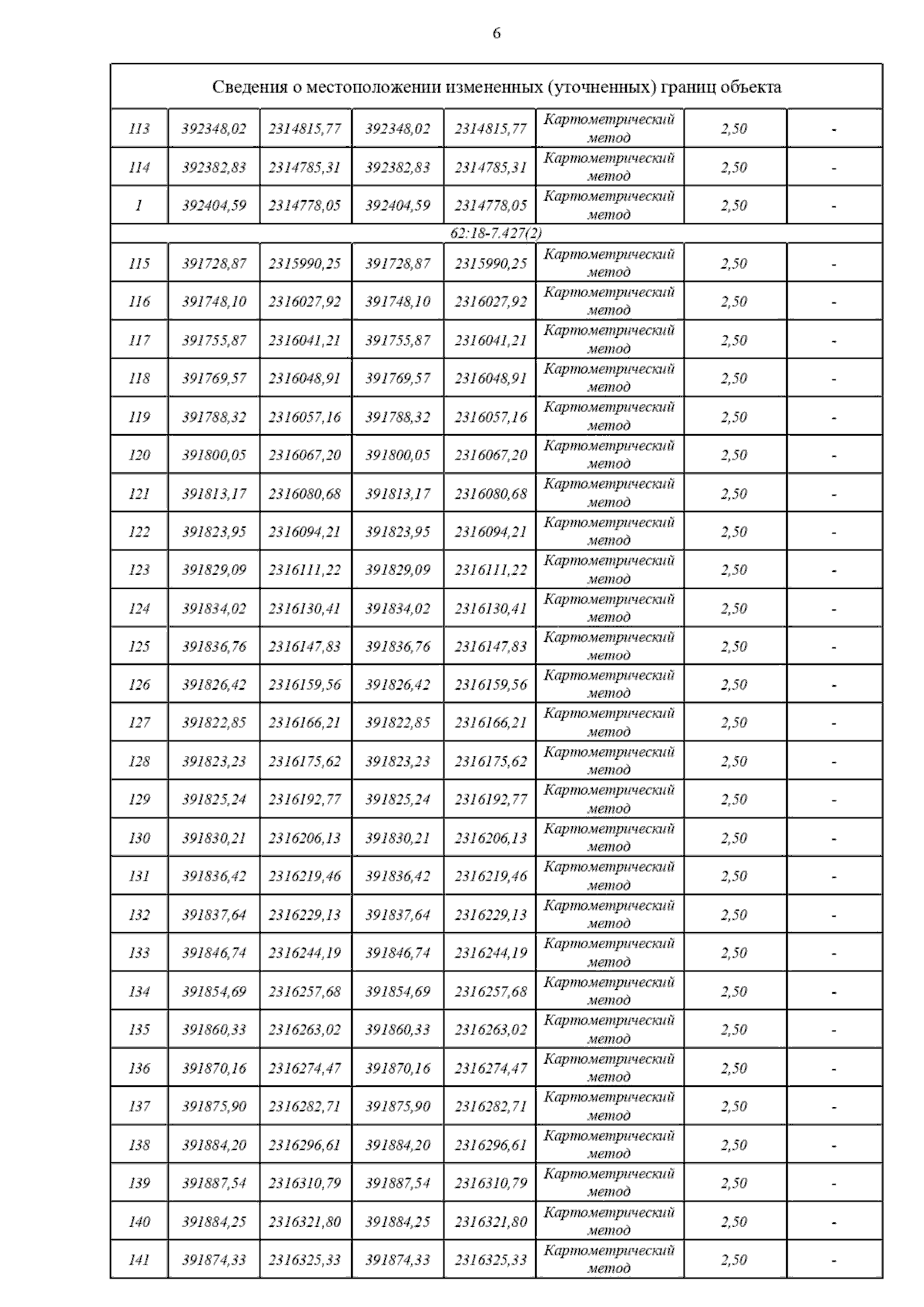
Постановление Главного управления архитектуры и градостроительства Рязанской области от 29.04.2025 № 324-п
"Об утверждении изменений в правила землепользования и застройки муниципального образования – Сасовский муниципальный округ Рязанской области применительно к территории Придорожного сельского округа Сасовского района Рязанской области"
(Зарегистрирован 30.04.2025 № 518)
Номер опубликования: 6201202505050003
Дата опубликования: 05.05.2025
Страница №11 из 19:
Увеличить