Официальное опубликование правовых актов
ОФИЦИАЛЬНОЕ ОПУБЛИКОВАНИЕ
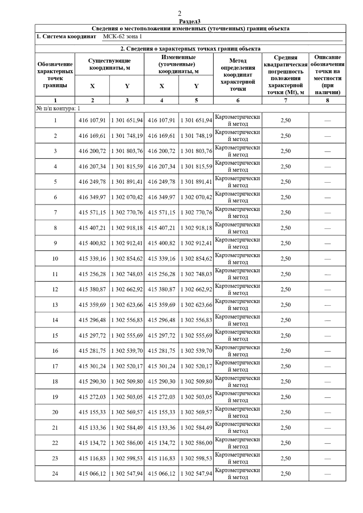
Постановление Главного управления архитектуры и градостроительства Рязанской области от 23.04.2025 № 299-п
"Об утверждении изменений в правила землепользования и застройки муниципального образования - Захаровское сельское поселение Захаровского муниципального района Рязанской области"
(Зарегистрирован 24.04.2025 № 486)
Номер опубликования: 6201202504250004
Дата опубликования: 25.04.2025
Страница №4 из 52:
Увеличить