Официальное опубликование правовых актов
ОФИЦИАЛЬНОЕ ОПУБЛИКОВАНИЕ
Постановление Главного управления архитектуры и градостроительства Рязанской области от 23.04.2025 № 298-п
"О внесении изменений в правила землепользования и застройки муниципального образования - Батуринское сельское поселение Рыбновского муниципального района Рязанской области"
(Зарегистрирован 24.04.2025 № 485)
Номер опубликования: 6201202504250001
Дата опубликования: 25.04.2025
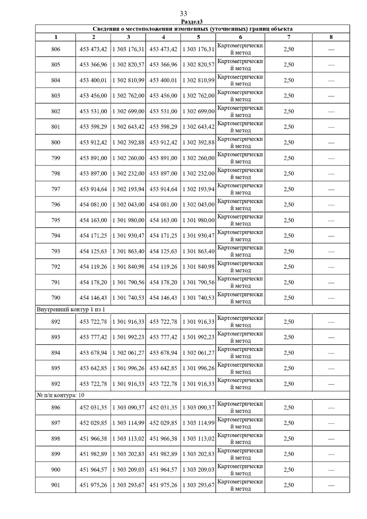
Страница №63 из 74:
Увеличить