Официальное опубликование правовых актов
ОФИЦИАЛЬНОЕ ОПУБЛИКОВАНИЕ
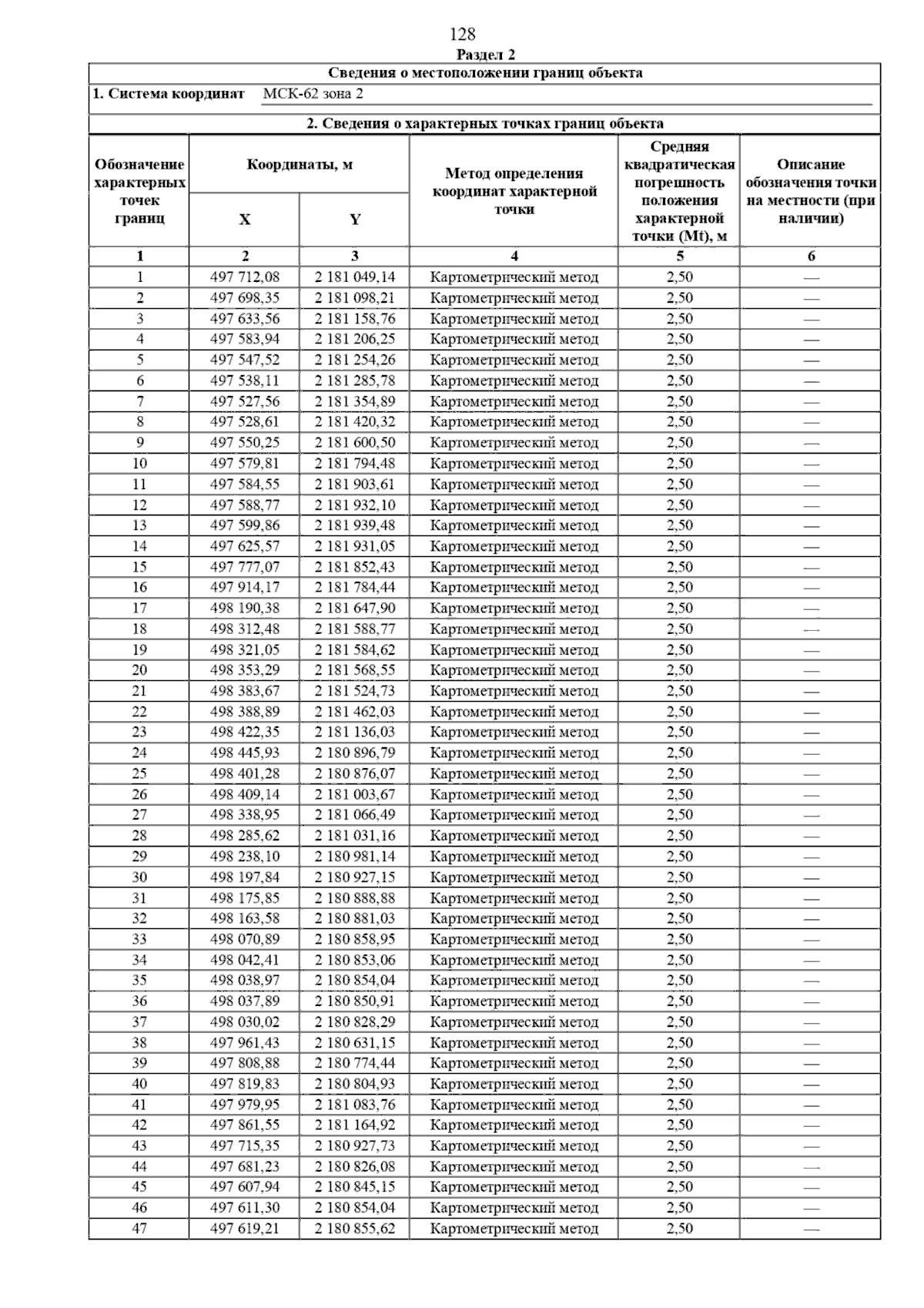
Постановление Главного управления архитектуры и градостроительства Рязанской области от 17.04.2025 № 292-п
"Об утверждении изменений в правила землепользования и застройки муниципального образования - Бусаевское сельское поселение Клепиковского муниципального района Рязанской области"
(Зарегистрирован 18.04.2025 № 465)
Номер опубликования: 6201202504230006
Дата опубликования: 23.04.2025
Страница №146 из 171:
Увеличить