Официальное опубликование правовых актов
ОФИЦИАЛЬНОЕ ОПУБЛИКОВАНИЕ
Постановление Главного управления архитектуры и градостроительства Рязанской области от 17.04.2025 № 293-п
"Об утверждении изменений в генеральный план муниципального образования – Екимовское сельское поселение Рязанского муниципального района Рязанской области"
(Зарегистрирован 18.04.2025 № 466)
Номер опубликования: 6201202504230002
Дата опубликования: 23.04.2025
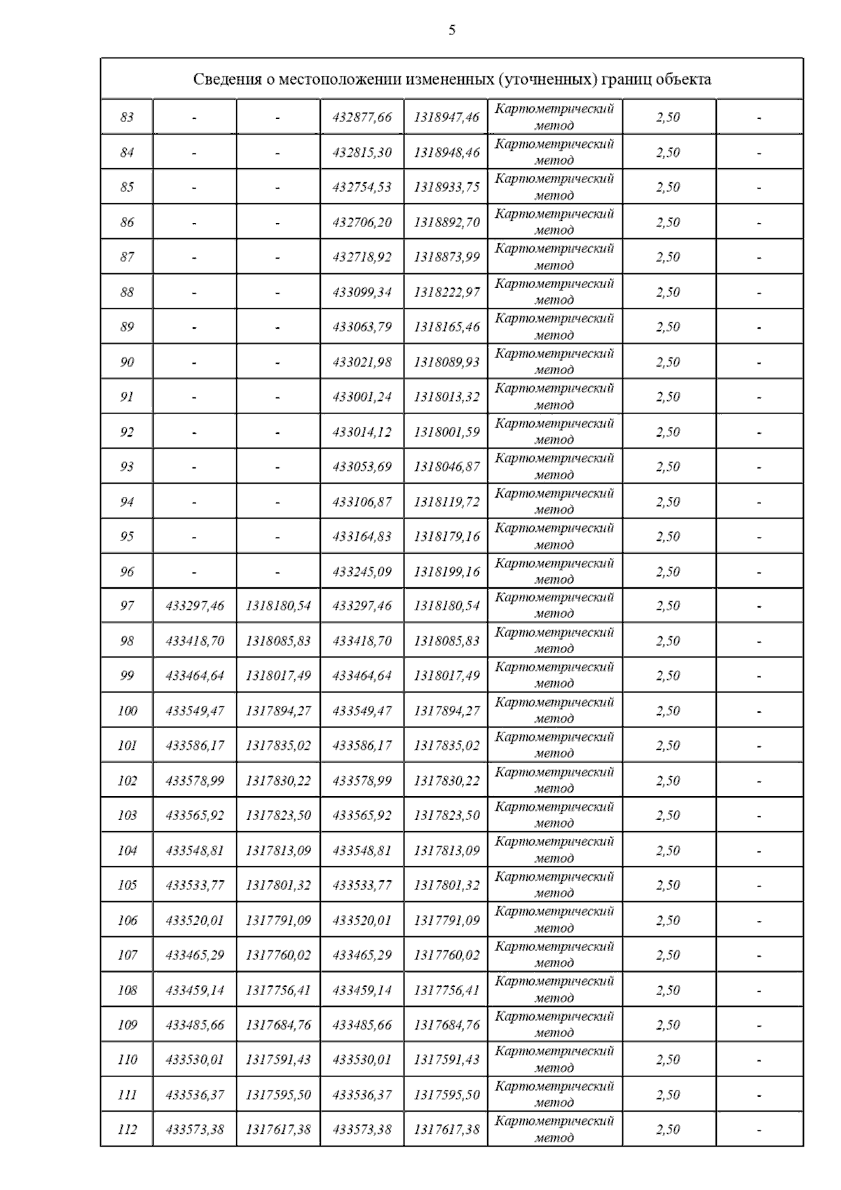
Страница №74 из 78:
Увеличить