Официальное опубликование правовых актов
ОФИЦИАЛЬНОЕ ОПУБЛИКОВАНИЕ
Постановление Главного управления архитектуры и градостроительства Рязанской области от 17.04.2025 № 295-п
"Об утверждении правил землепользования и застройки муниципального образования – Остро -Пластиковское сельское поселение Чучковского муниципального района Рязанской области"
(Зарегистрирован 18.04.2025 № 468)
Номер опубликования: 6201202504230001
Дата опубликования: 23.04.2025
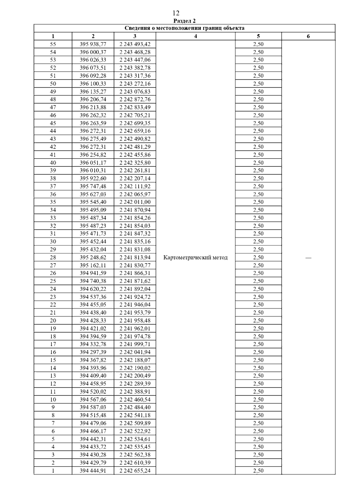
Страница №40 из 65:
Увеличить