Официальное опубликование правовых актов
ОФИЦИАЛЬНОЕ ОПУБЛИКОВАНИЕ
Постановление Главного управления архитектуры и градостроительства Рязанской области от 14.04.2025 № 282-п
"О внесении изменений в правила землепользования и застройки муниципального образования – Вослебовское сельское поселение Скопинского муниципального района Рязанской области"
(Зарегистрирован 15.04.2025 № 444)
Номер опубликования: 6201202504220010
Дата опубликования: 22.04.2025
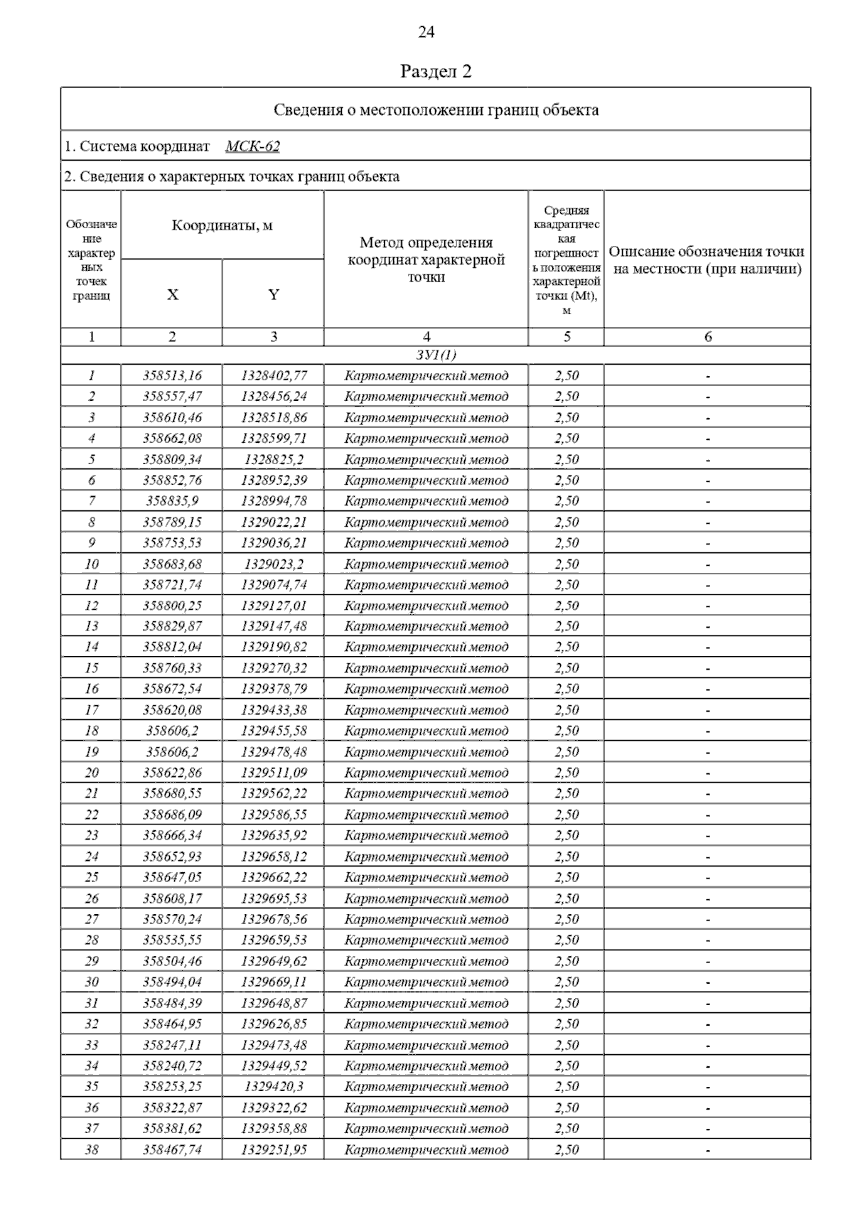
Страница №27 из 301:
Увеличить