Официальное опубликование правовых актов
ОФИЦИАЛЬНОЕ ОПУБЛИКОВАНИЕ
Постановление Главного управления архитектуры и градостроительства Рязанской области от 14.04.2025 № 278-п
"Об утверждении генерального плана муниципального образования – Напольновское сельское поселение Сараевского муниципального района Рязанской области"
(Зарегистрирован 15.04.2025 № 440)
Номер опубликования: 6201202504220003
Дата опубликования: 22.04.2025
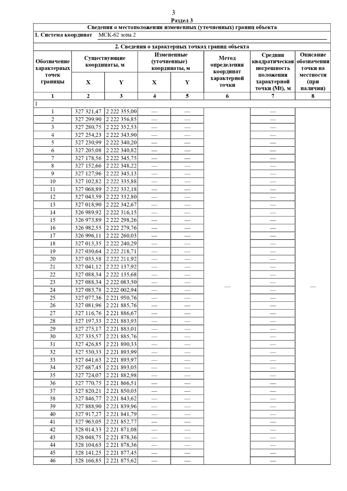
Страница №13 из 125:
Увеличить