Официальное опубликование правовых актов
ОФИЦИАЛЬНОЕ ОПУБЛИКОВАНИЕ
Постановление Главного управления архитектуры и градостроительства Рязанской области от 11.04.2025 № 273-п
"Об утверждении генерального плана муниципального образования – Кривское сельское поселение Сараевского муниципального района Рязанской области"
(Зарегистрирован 14.04.2025 № 435)
Номер опубликования: 6201202504170002
Дата опубликования: 17.04.2025
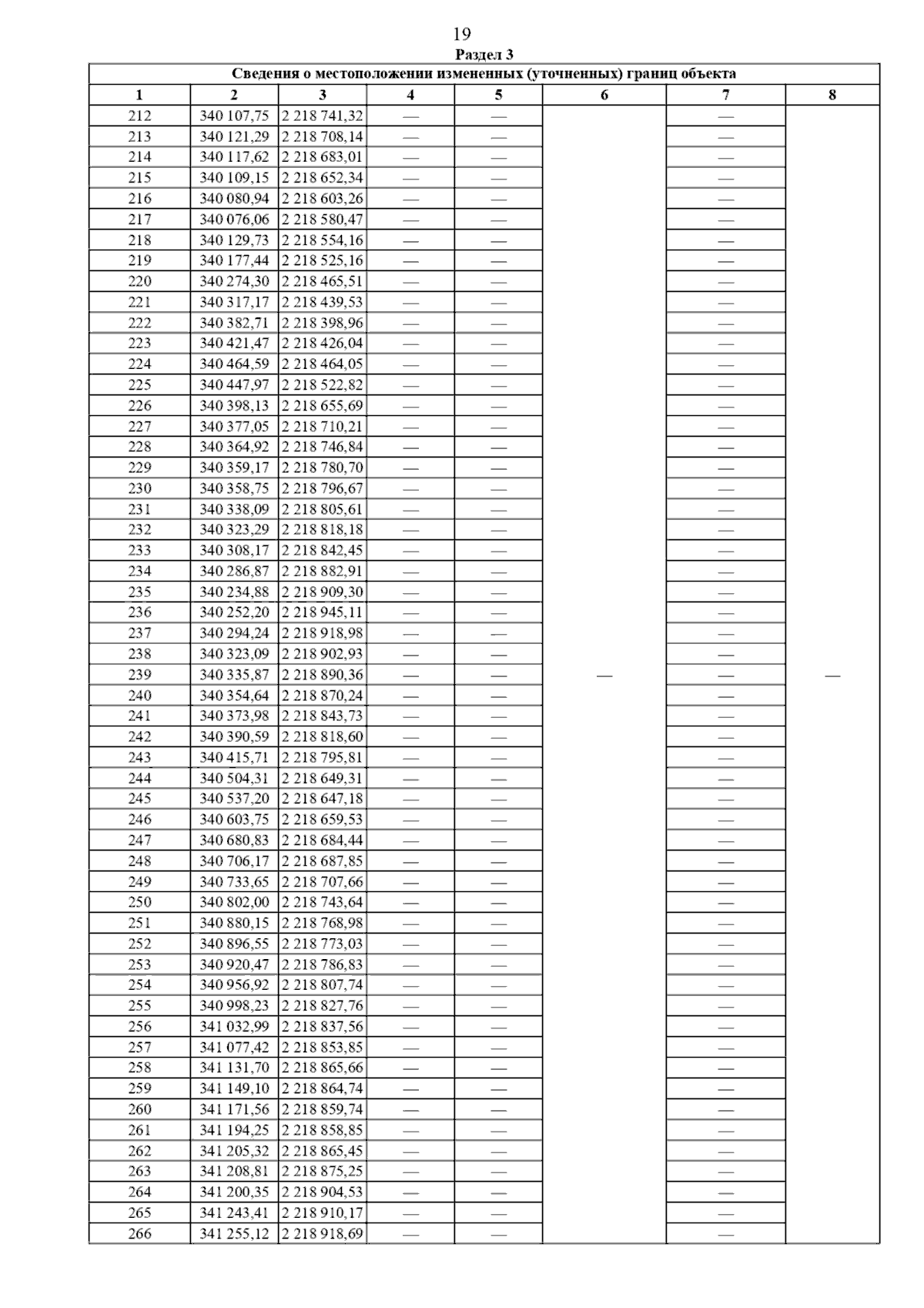
Страница №29 из 43:
Увеличить