Официальное опубликование правовых актов
ОФИЦИАЛЬНОЕ ОПУБЛИКОВАНИЕ
Постановление Главного управления архитектуры и градостроительства Рязанской области от 11.04.2025 № 274-п
"Об утверждении правил землепользования и застройки муниципального образования – Кривское сельское поселение Сараевского муниципального района Рязанской области"
(Зарегистрирован 14.04.2025 № 436)
Номер опубликования: 6201202504170001
Дата опубликования: 17.04.2025
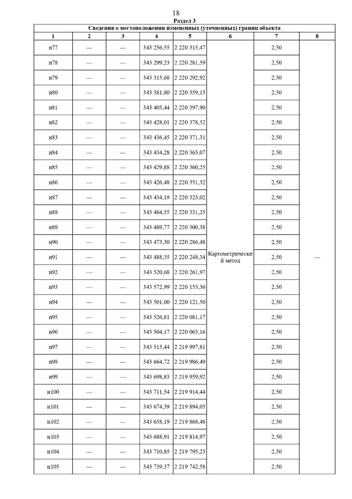
Страница №43 из 65:
Увеличить