Официальное опубликование правовых актов
ОФИЦИАЛЬНОЕ ОПУБЛИКОВАНИЕ
Постановление Главного управления архитектуры и градостроительства Рязанской области от 09.04.2025 № 253-п
"Об утверждении изменений в правила землепользования и застройки муниципального образования – Баграмовское сельское поселение Рыбновского муниципального района Рязанской области"
(Зарегистрирован 10.04.2025 № 412)
Номер опубликования: 6201202504140007
Дата опубликования: 14.04.2025
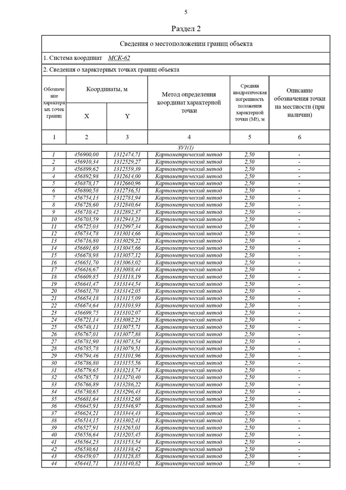
Страница №11 из 52:
Увеличить