Официальное опубликование правовых актов
ОФИЦИАЛЬНОЕ ОПУБЛИКОВАНИЕ
Постановление Главного управления архитектуры и градостроительства Рязанской области от 09.04.2025 № 255-п
"Об утверждении изменений в правила землепользования и застройки муниципального образования – Варсковское сельское поселение Рязанского муниципального района Рязанской области"
(Зарегистрирован 10.04.2025 № 414)
Номер опубликования: 6201202504140005
Дата опубликования: 14.04.2025
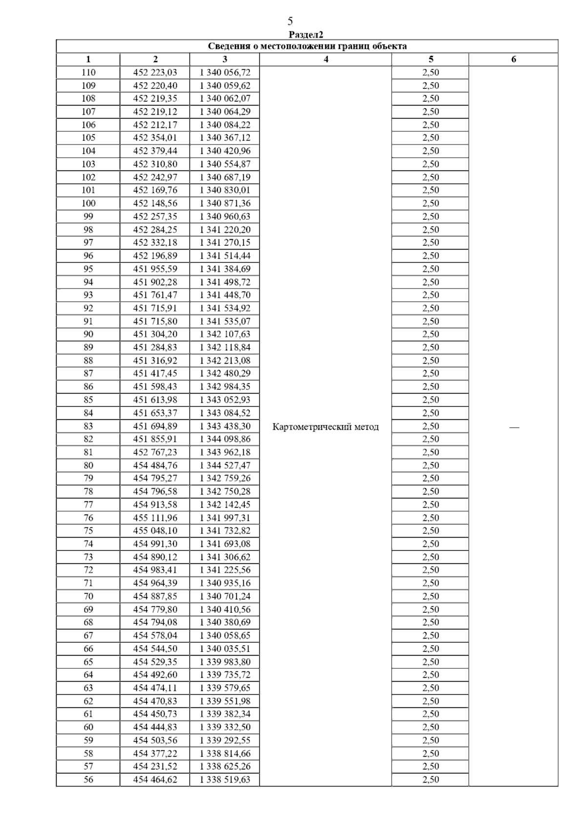
Страница №9 из 91:
Увеличить