Официальное опубликование правовых актов
ОФИЦИАЛЬНОЕ ОПУБЛИКОВАНИЕ
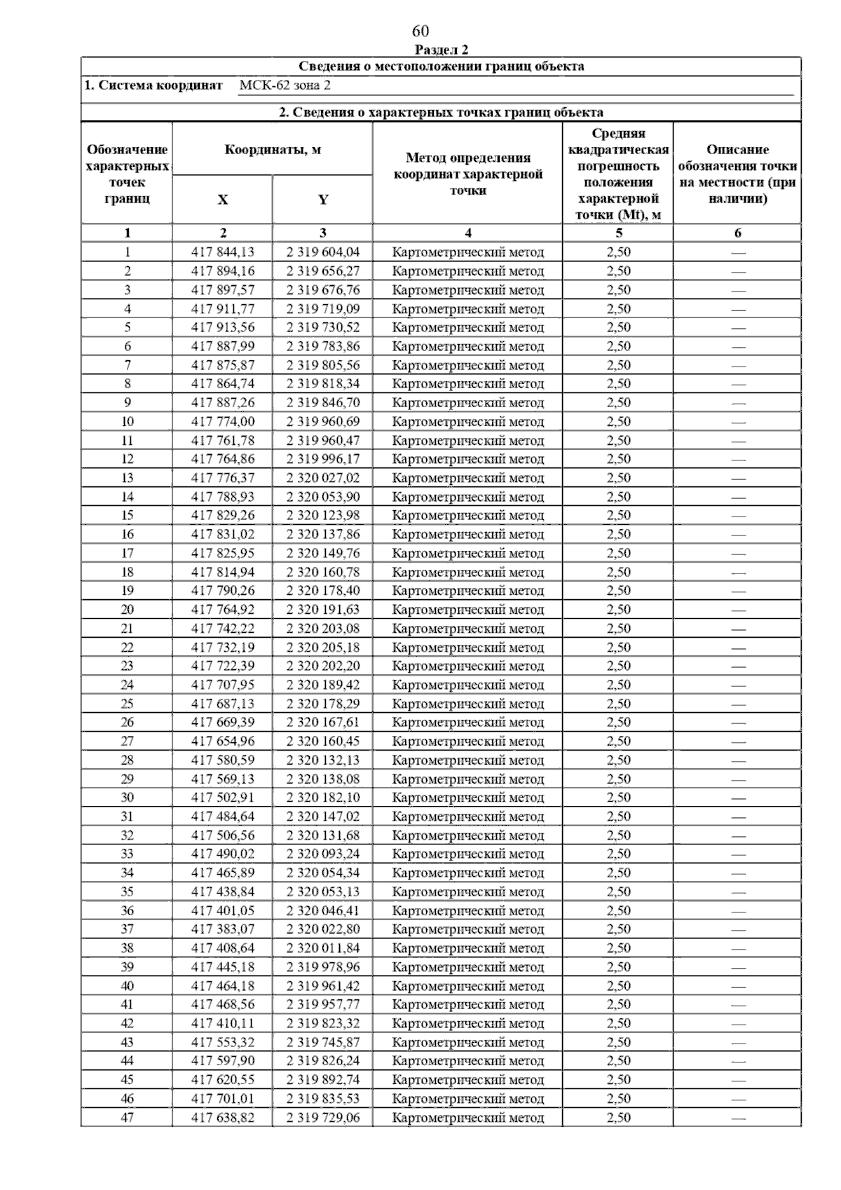
Постановление Главного управления архитектуры и градостроительства Рязанской области от 03.04.2025 № 246-п
"Об утверждении изменений в правила землепользования и застройки муниципального образования – Котелинское сельское поселение Кадомского муниципального района Рязанской области"
(Зарегистрирован 04.04.2025 № 400)
Номер опубликования: 6201202504090006
Дата опубликования: 09.04.2025
Страница №67 из 116:
Увеличить