Официальное опубликование правовых актов
ОФИЦИАЛЬНОЕ ОПУБЛИКОВАНИЕ
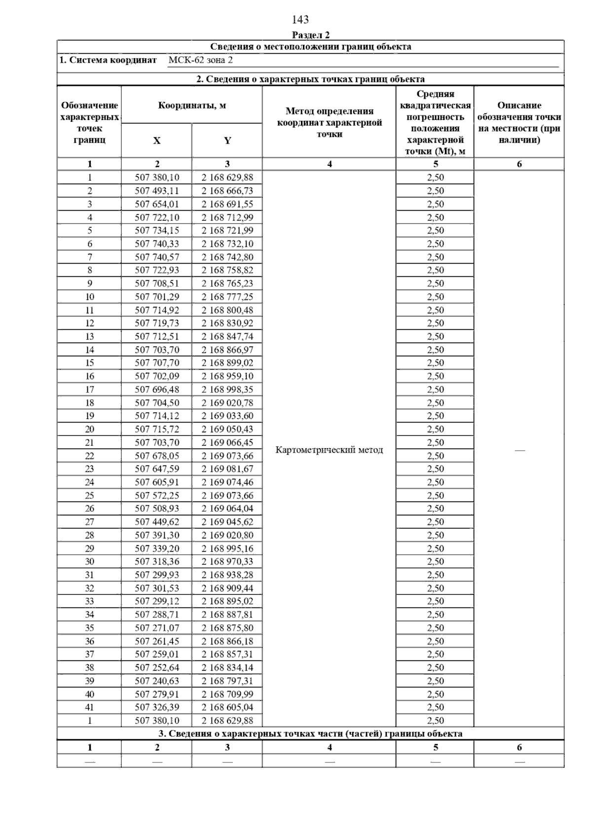
Постановление Главного управления архитектуры и градостроительства Рязанской области от 03.04.2025 № 247-п
"Об утверждении изменений в правила землепользования и застройки муниципального образования – Ненашкинское сельское поселение Клепиковского муниципального района Рязанской области"
(Зарегистрирован 04.04.2025 № 401)
Номер опубликования: 6201202504090005
Дата опубликования: 09.04.2025
Страница №151 из 191:
Увеличить