Официальное опубликование правовых актов
ОФИЦИАЛЬНОЕ ОПУБЛИКОВАНИЕ
Постановление Главного управления архитектуры и градостроительства Рязанской области от 02.04.2025 № 240-п
"Об утверждении изменения в генеральный план муниципального образования – Котелинское сельское поселение Кадомского муниципального района Рязанской области"
(Зарегистрирован 03.04.2025 № 386)
Номер опубликования: 6201202504070007
Дата опубликования: 07.04.2025
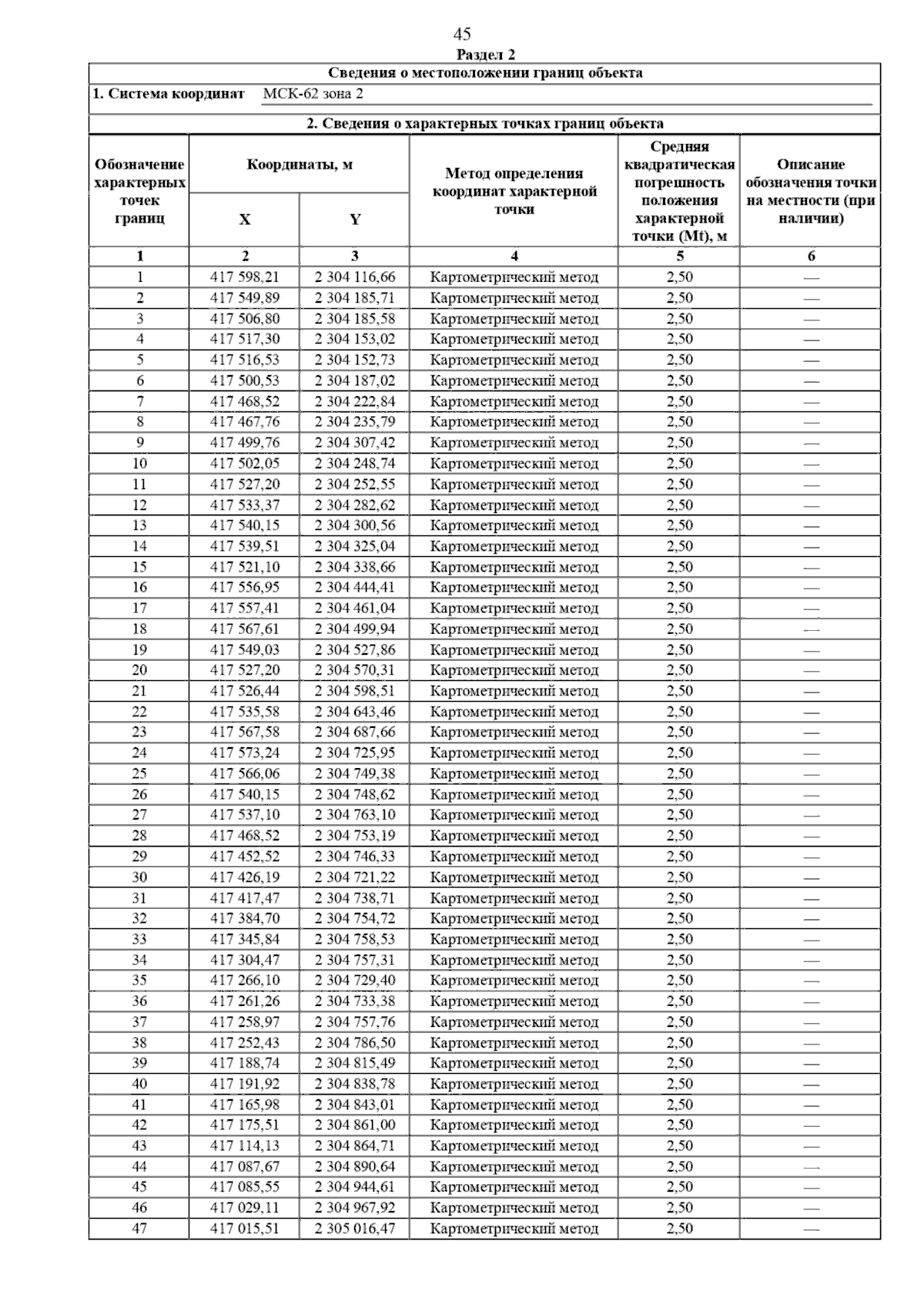
Страница №47 из 95:
Увеличить