Официальное опубликование правовых актов
ОФИЦИАЛЬНОЕ ОПУБЛИКОВАНИЕ
Постановление Главного управления архитектуры и градостроительства Рязанской области от 02.04.2025 № 243-п
"Об утверждении правил землепользования и застройки муниципального образования – Новобокинское сельское поселение Сараевского муниципального района Рязанской области"
(Зарегистрирован 03.04.2025 № 389)
Номер опубликования: 6201202504070002
Дата опубликования: 07.04.2025
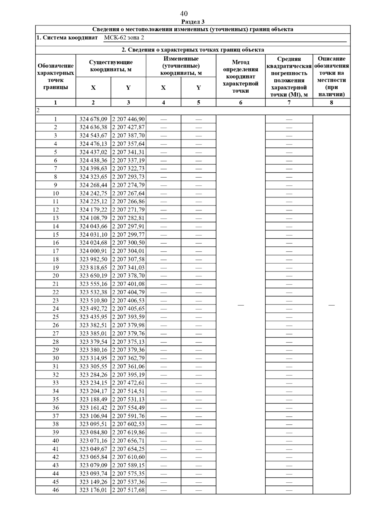
Страница №68 из 86:
Увеличить