Официальное опубликование правовых актов
ОФИЦИАЛЬНОЕ ОПУБЛИКОВАНИЕ
Постановление Главного управления архитектуры и градостроительства Рязанской области от 25.03.2025 № 219-п
"Об утверждении изменений в правила землепользования и застройки муниципального образования - Ходынинское сельское поселение Рыбновского муниципального района Рязанской области"
(Зарегистрирован 25.03.2025 № 343)
Номер опубликования: 6201202503280010
Дата опубликования: 28.03.2025
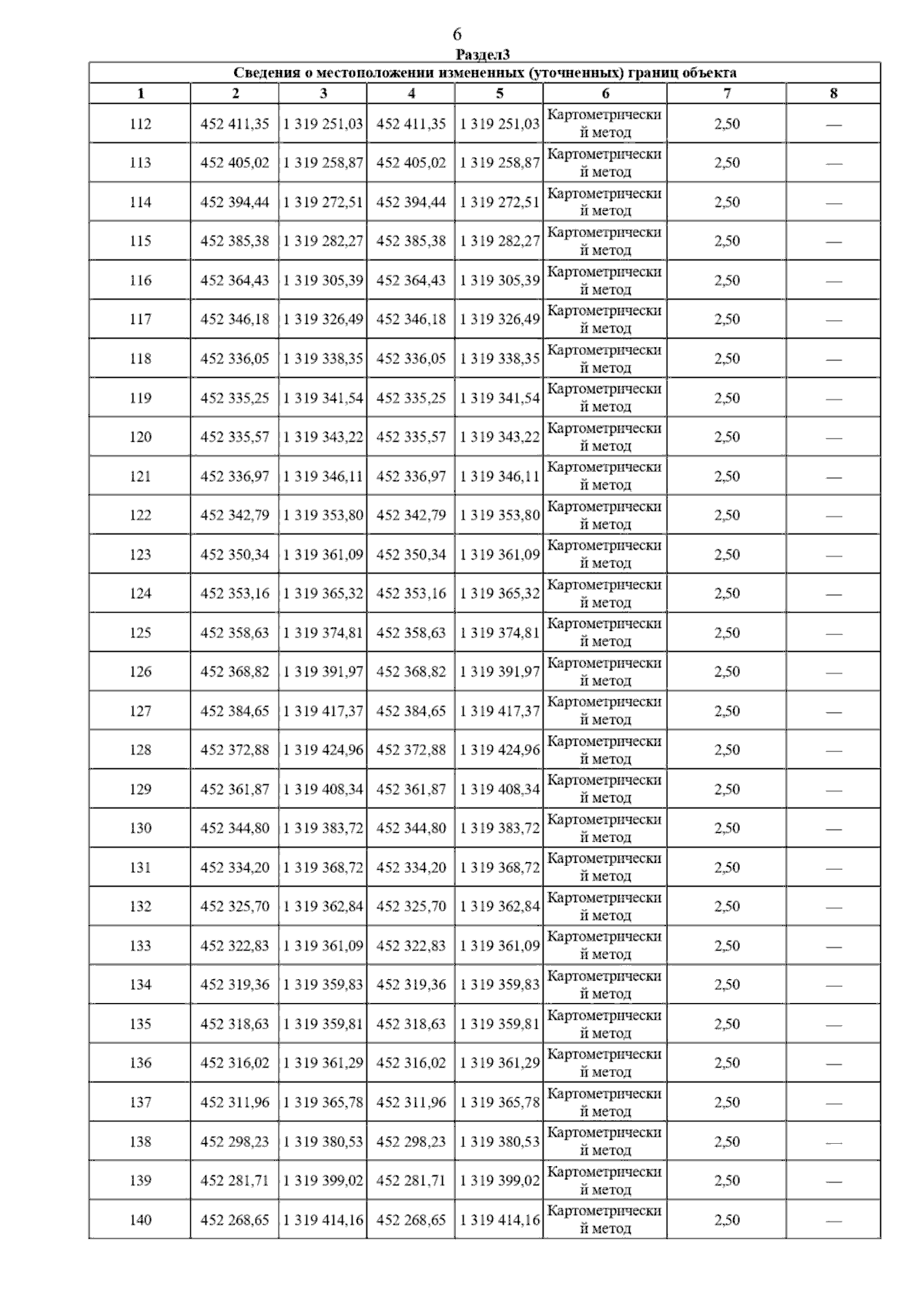
Страница №8 из 50:
Увеличить