Официальное опубликование правовых актов
ОФИЦИАЛЬНОЕ ОПУБЛИКОВАНИЕ
Постановление Главного управления архитектуры и градостроительства Рязанской области от 25.03.2025 № 215-п
"Об утверждении изменения в генеральный план муниципального образования – Канинское сельское поселение Сапожковского муниципального района Рязанской области"
(Зарегистрирован 25.03.2025 № 339)
Номер опубликования: 6201202503280004
Дата опубликования: 28.03.2025
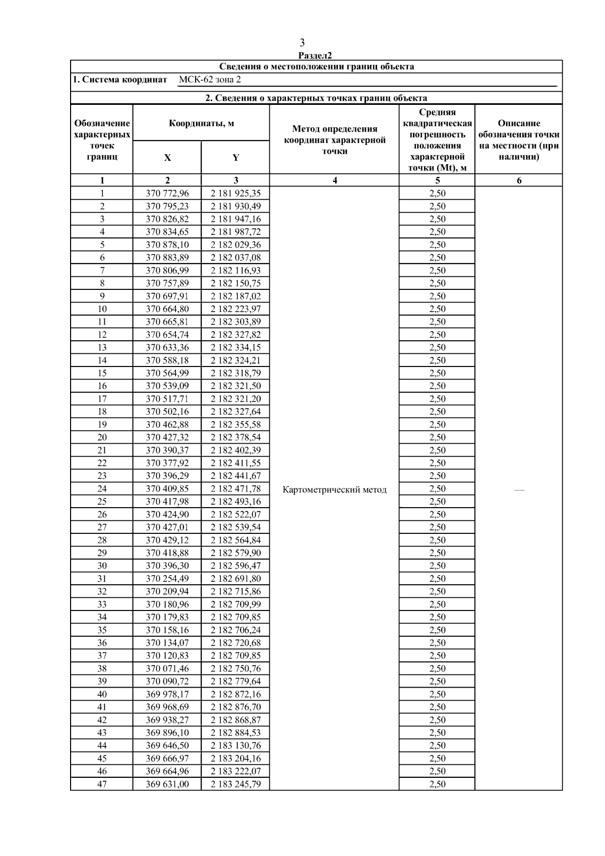
Страница №5 из 31:
Увеличить