Официальное опубликование правовых актов
ОФИЦИАЛЬНОЕ ОПУБЛИКОВАНИЕ
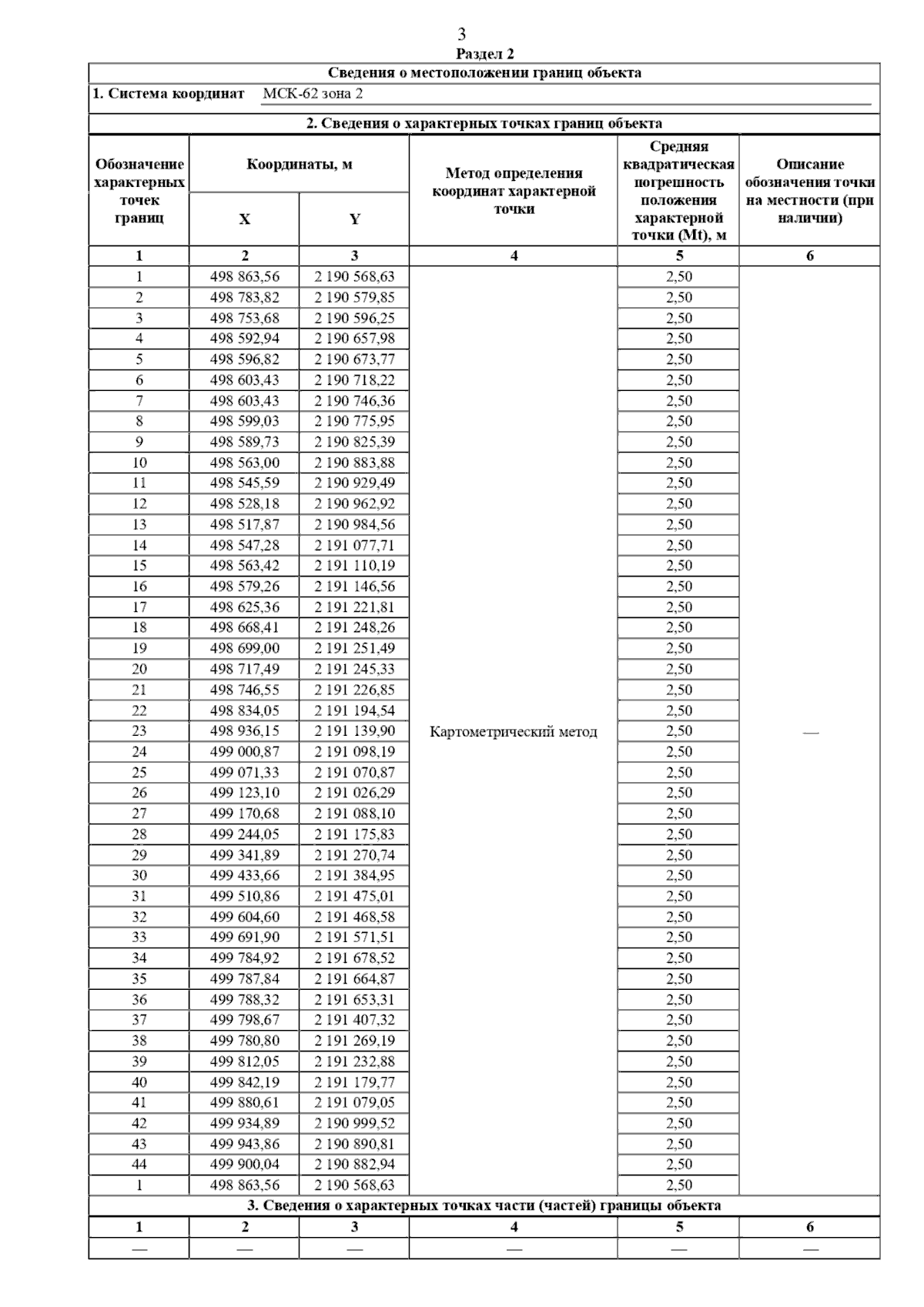
Постановление Главного управления архитектуры и градостроительства Рязанской области от 21.03.2025 № 214-п
"Об утверждении изменений в генеральный план муниципального образования – Уткинское сельское поселение Клепиковского муниципального района Рязанской области"
(Зарегистрирован 24.03.2025 № 334)
Номер опубликования: 6201202503270006
Дата опубликования: 27.03.2025
Страница №5 из 69:
Увеличить