Официальное опубликование правовых актов
ОФИЦИАЛЬНОЕ ОПУБЛИКОВАНИЕ
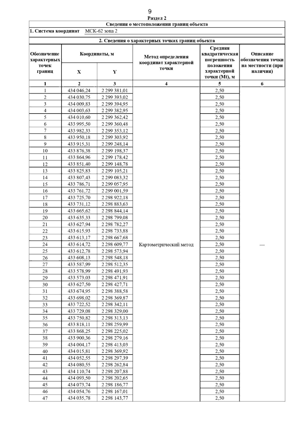
Постановление Главного управления архитектуры и градостроительства Рязанской области от 21.03.2025 № 213-п
"Об утверждении изменения в генеральный план муниципального образования – Восходское сельское поселение Кадомского муниципального района Рязанской области"
(Зарегистрирован 24.03.2025 № 333)
Номер опубликования: 6201202503270005
Дата опубликования: 27.03.2025
Страница №11 из 43:
Увеличить