Официальное опубликование правовых актов
ОФИЦИАЛЬНОЕ ОПУБЛИКОВАНИЕ
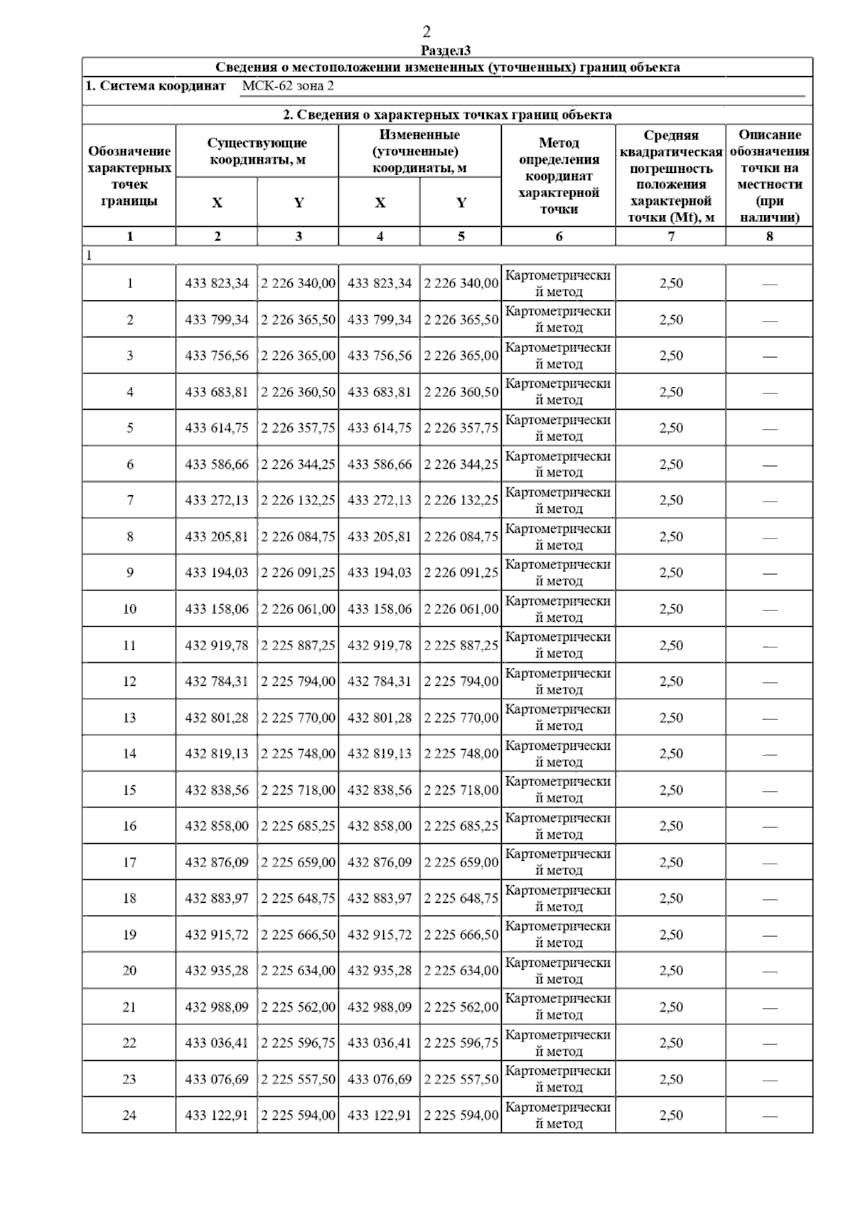
Постановление Главного управления архитектуры и градостроительства Рязанской области от 14.03.2025 № 179-п
"Об утверждении изменений в генеральный план муниципального образования – Тырновское сельское поселение Шиловского муниципального района Рязанской области"
(Зарегистрирован 17.03.2025 № 282)
Номер опубликования: 6201202503210001
Дата опубликования: 21.03.2025
Страница №4 из 6:
Увеличить