Официальное опубликование правовых актов
ОФИЦИАЛЬНОЕ ОПУБЛИКОВАНИЕ
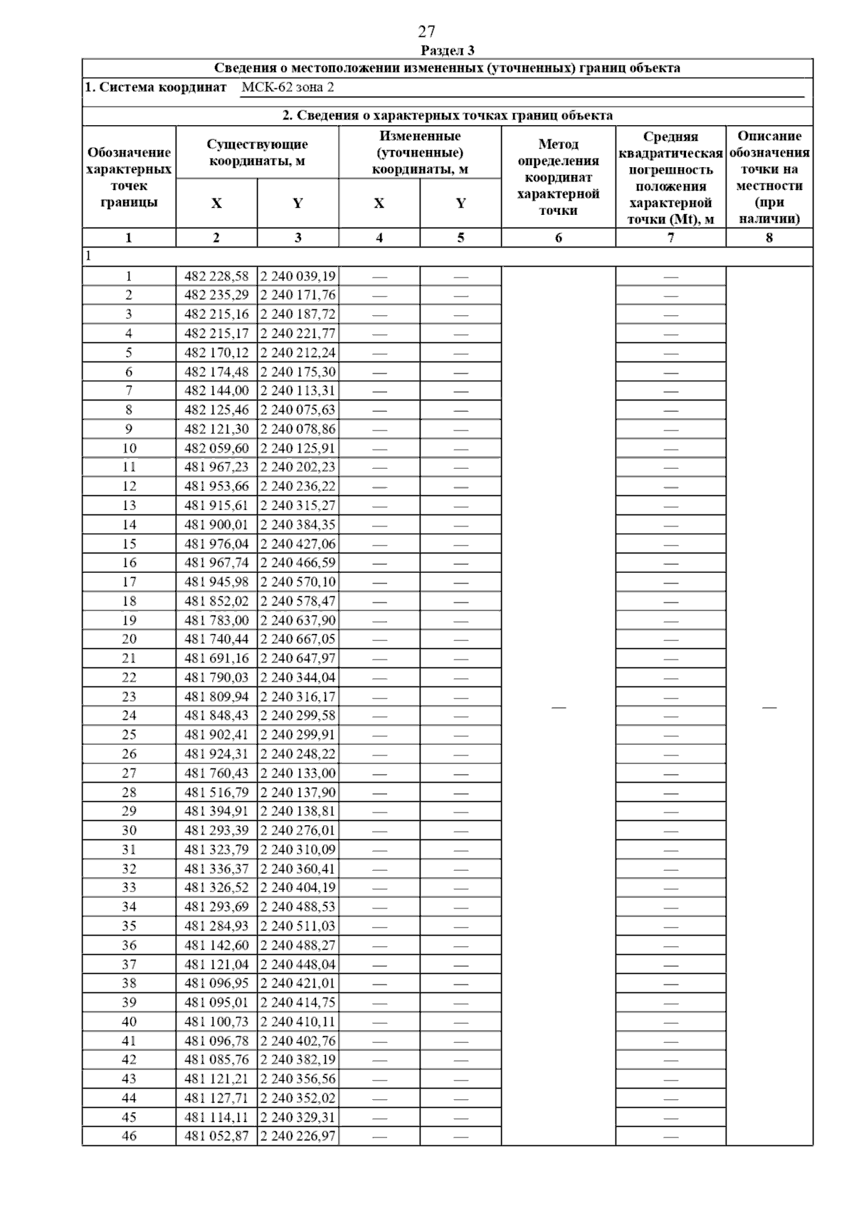
Постановление Главного управления архитектуры и градостроительства Рязанской области от 11.03.2025 № 170-п
"Об утверждении генерального плана муниципального образования – Касимовский муниципальный округ Рязанской области применительно к территории Лощининского сельского округа Касимовского района Рязанской области, за исключением территории кадастровых кварталов 62:04:0040102, 62:04:0040103"
(Зарегистрирован 12.03.2025 № 270)
Номер опубликования: 6201202503170009
Дата опубликования: 17.03.2025
Страница №39 из 83:
Увеличить