Официальное опубликование правовых актов
ОФИЦИАЛЬНОЕ ОПУБЛИКОВАНИЕ
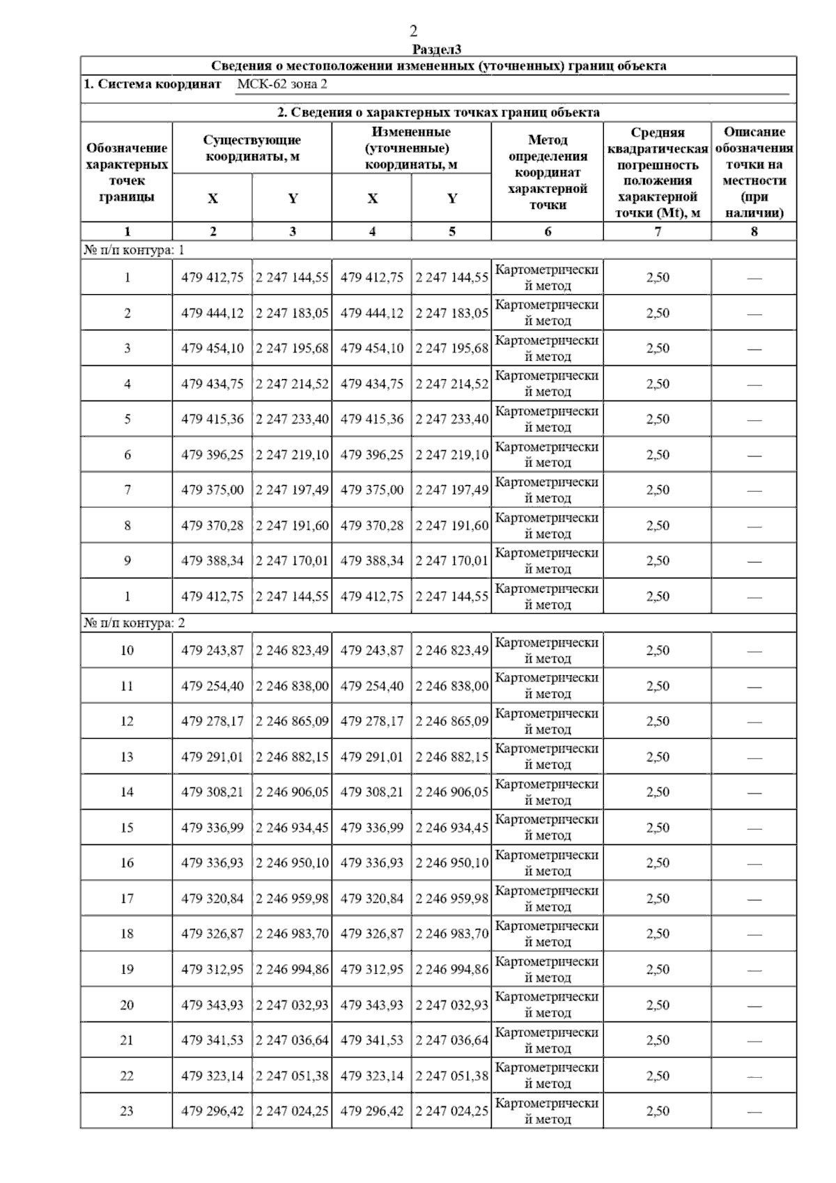
Постановление Главного управления архитектуры и градостроительства Рязанской области от 11.03.2025 № 156-п
"Об утверждении изменений в правила землепользования и застройки муниципального образования – городской округ город Касимов Рязанской области"
(Зарегистрирован 11.03.2025 № 253)
Номер опубликования: 6201202503140005
Дата опубликования: 14.03.2025
Страница №112 из 164:
Увеличить