Официальное опубликование правовых актов
ОФИЦИАЛЬНОЕ ОПУБЛИКОВАНИЕ
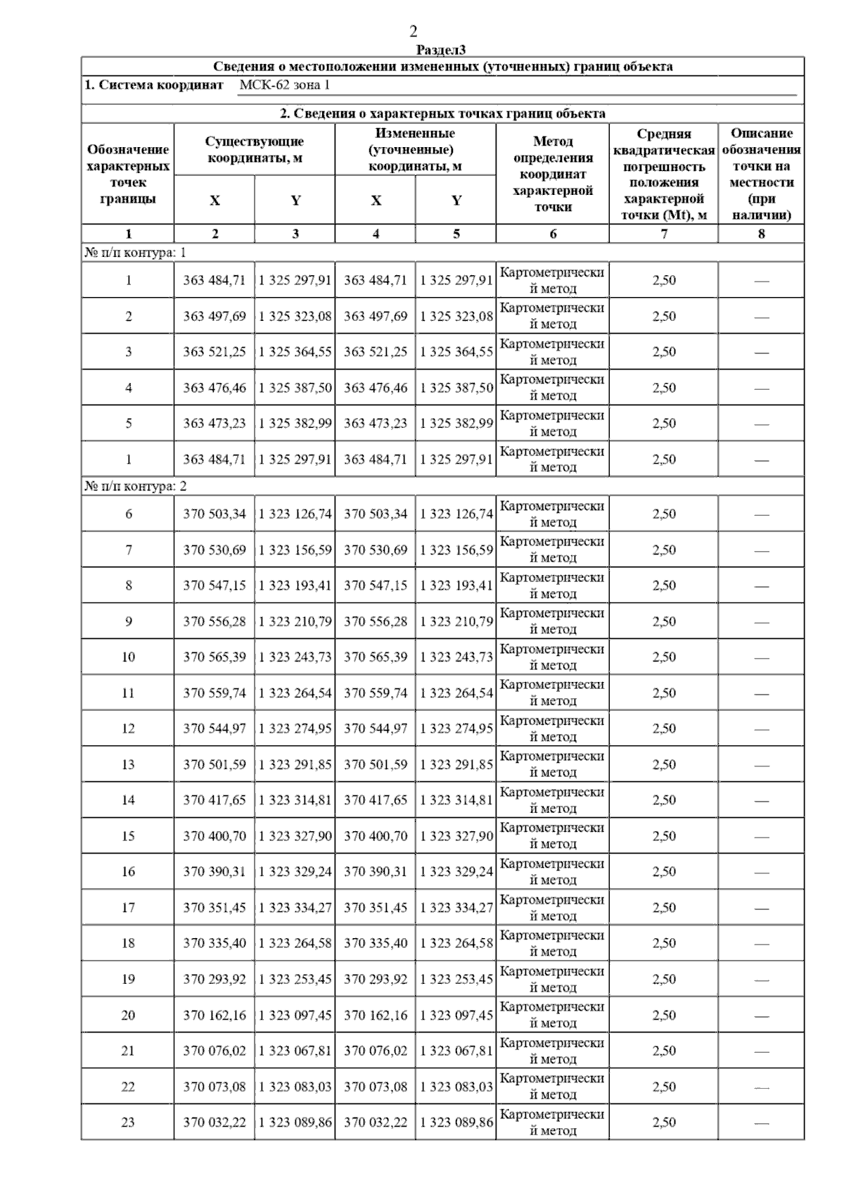
Постановление Главного управления архитектуры и градостроительства Рязанской области от 27.02.2025 № 136-п
"Об утверждении изменений в правила землепользования и застройки муниципального образования - Успенское сельское поселение Скопинского муниципального района Рязанской области"
(Зарегистрирован 27.02.2025 № 216)
Номер опубликования: 6201202503030005
Дата опубликования: 03.03.2025
Страница №34 из 156:
Увеличить