Официальное опубликование правовых актов
ОФИЦИАЛЬНОЕ ОПУБЛИКОВАНИЕ
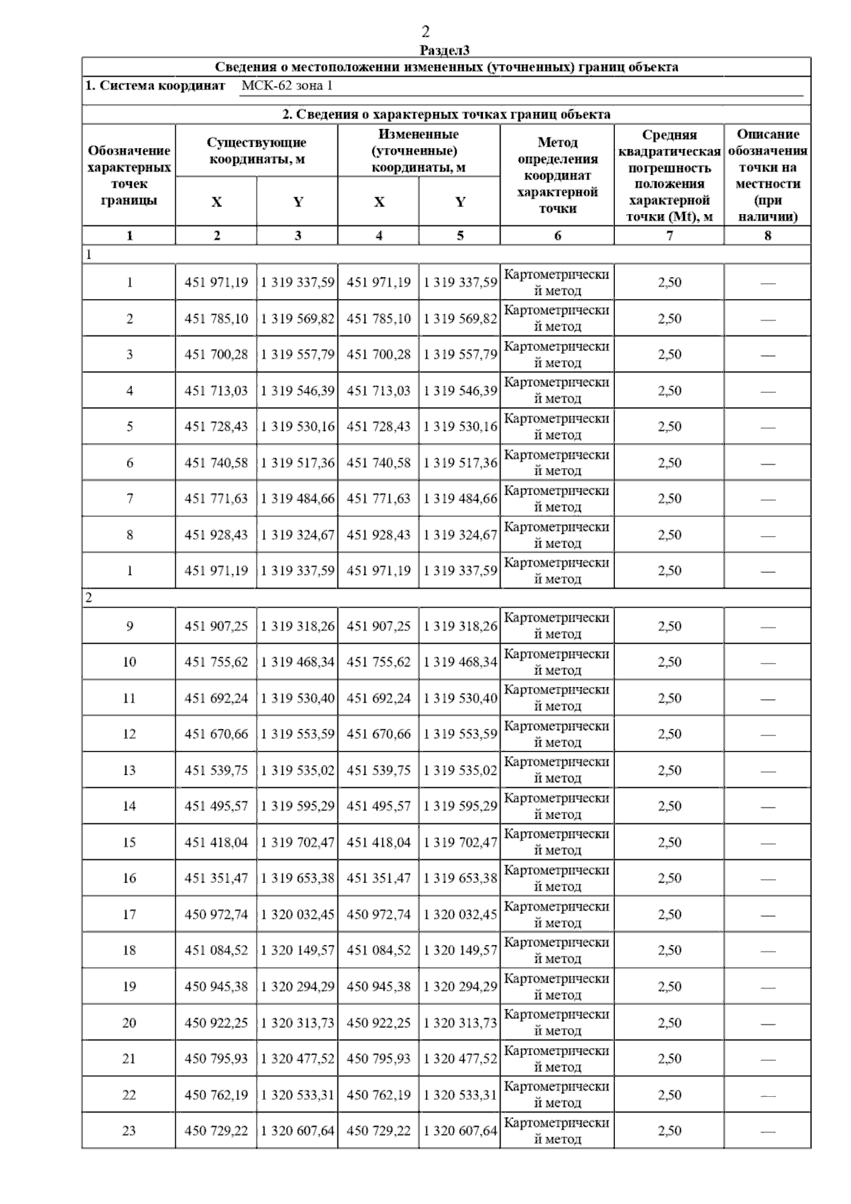
Постановление Главного управления архитектуры и градостроительства Рязанской области от 24.02.2025 № 135-п
"Об утверждении изменений в правила землепользования и застройки муниципального образования - Тюшевское сельское поселение Рязанского муниципального района Рязанской области"
(Зарегистрирован 25.02.2025 № 213)
Номер опубликования: 6201202502280003
Дата опубликования: 28.02.2025
Страница №10 из 14:
Увеличить