Официальное опубликование правовых актов
ОФИЦИАЛЬНОЕ ОПУБЛИКОВАНИЕ
Постановление Главного управления архитектуры и градостроительства Рязанской области от 19.02.2025 № 127-п
"Об утверждении генерального плана муниципального образования – Заречинское сельское поселение Спасского муниципального района Рязанской области"
(Зарегистрирован 20.02.2025 № 202)
Номер опубликования: 6201202502250002
Дата опубликования: 25.02.2025
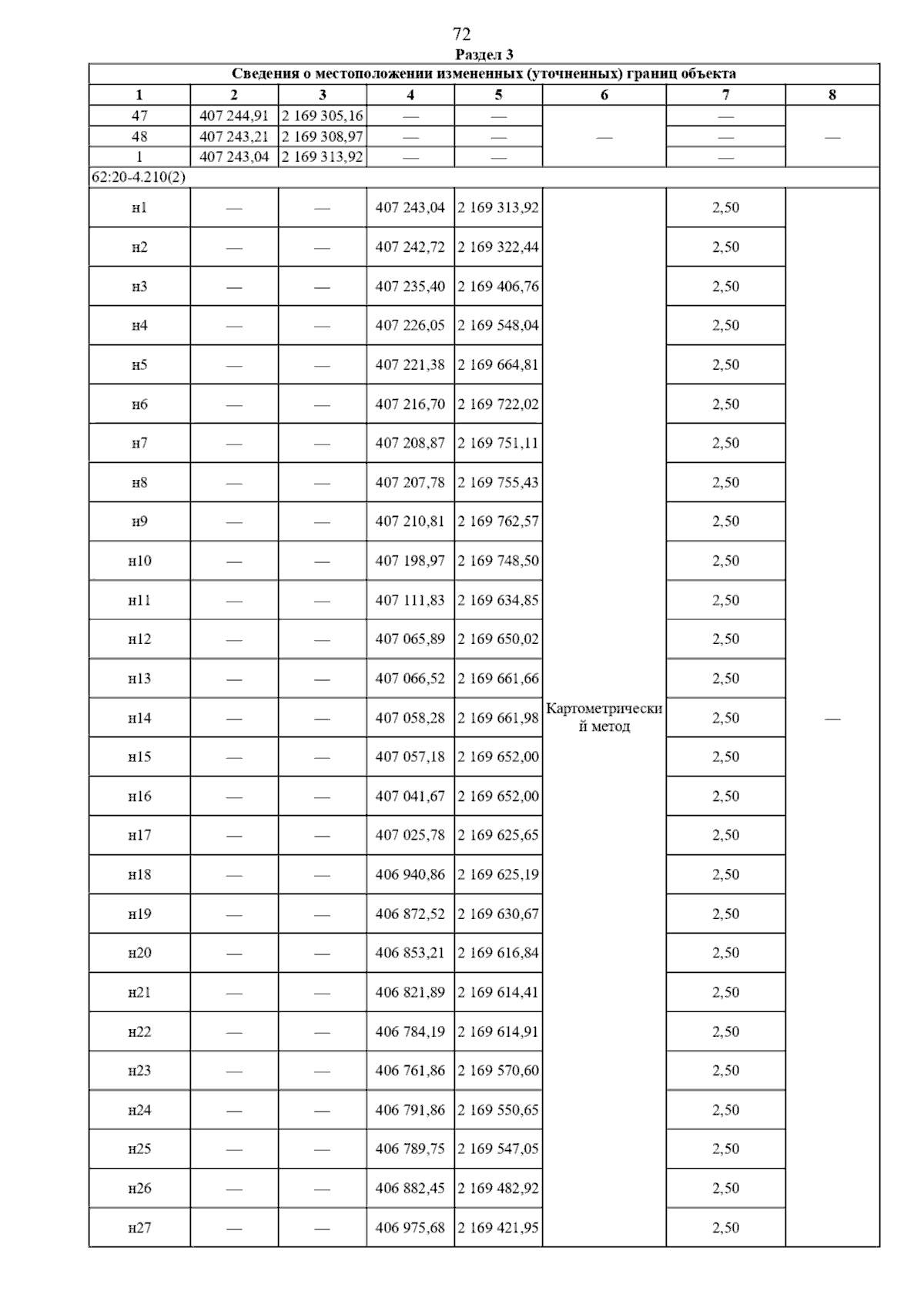
Страница №83 из 98:
Увеличить