Официальное опубликование правовых актов
ОФИЦИАЛЬНОЕ ОПУБЛИКОВАНИЕ
Постановление Главного управления архитектуры и градостроительства Рязанской области от 17.02.2025 № 116-п
"Об утверждении изменений в генеральный план муниципального образования – Ряжский муниципальный округ Рязанской области применительно к территориям города Ряжск с прилегающий территорией, Алешинского и Журавинского сельских округов Ряжского района Рязанской области"
(Зарегистрирован 18.02.2025 № 185)
Номер опубликования: 6201202502200014
Дата опубликования: 20.02.2025
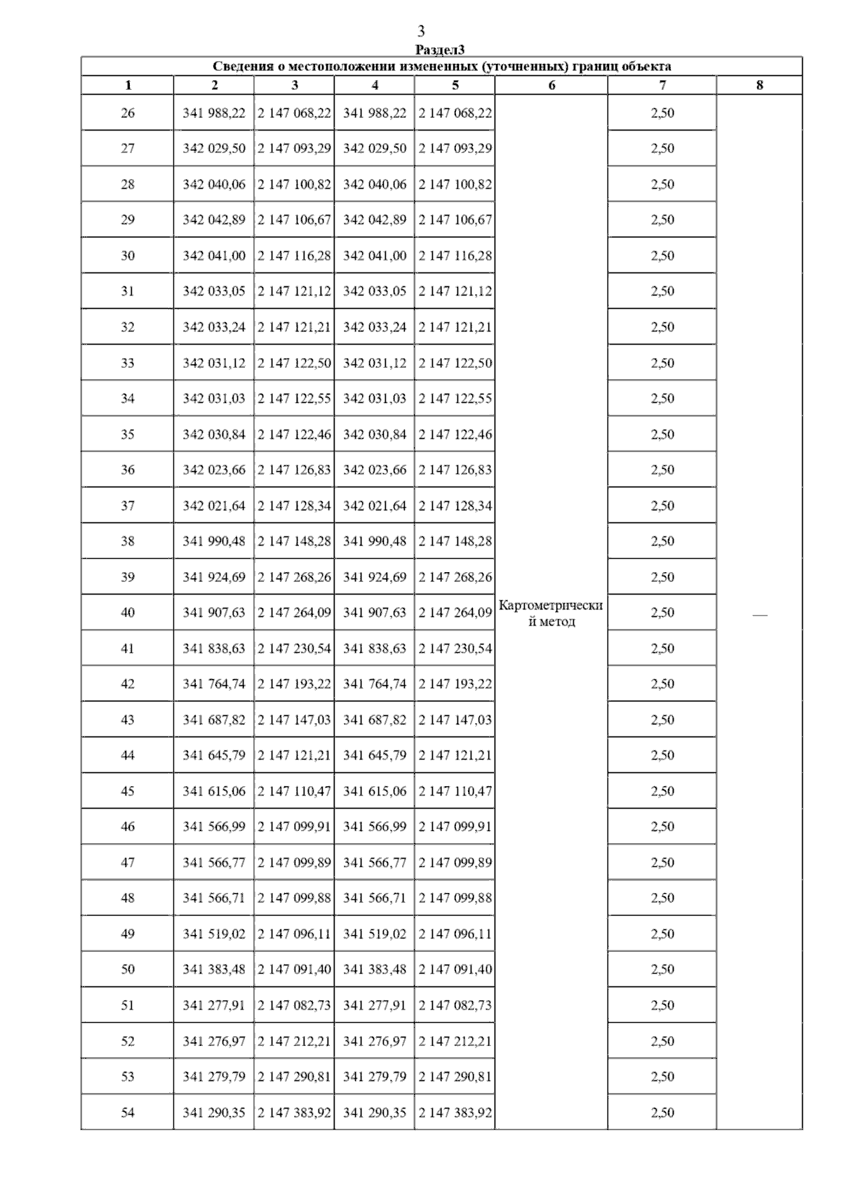
Страница №16 из 18:
Увеличить