Официальное опубликование правовых актов
ОФИЦИАЛЬНОЕ ОПУБЛИКОВАНИЕ
Постановление Главного управления архитектуры и градостроительства Рязанской области от 24.01.2025 № 71-п
"Об утверждении генерального плана муниципального образования – Можарское сельское поселение Сараевского муниципального района Рязанской области"
(Зарегистрирован 24.01.2025 № 102)
Номер опубликования: 6201202501290002
Дата опубликования: 29.01.2025
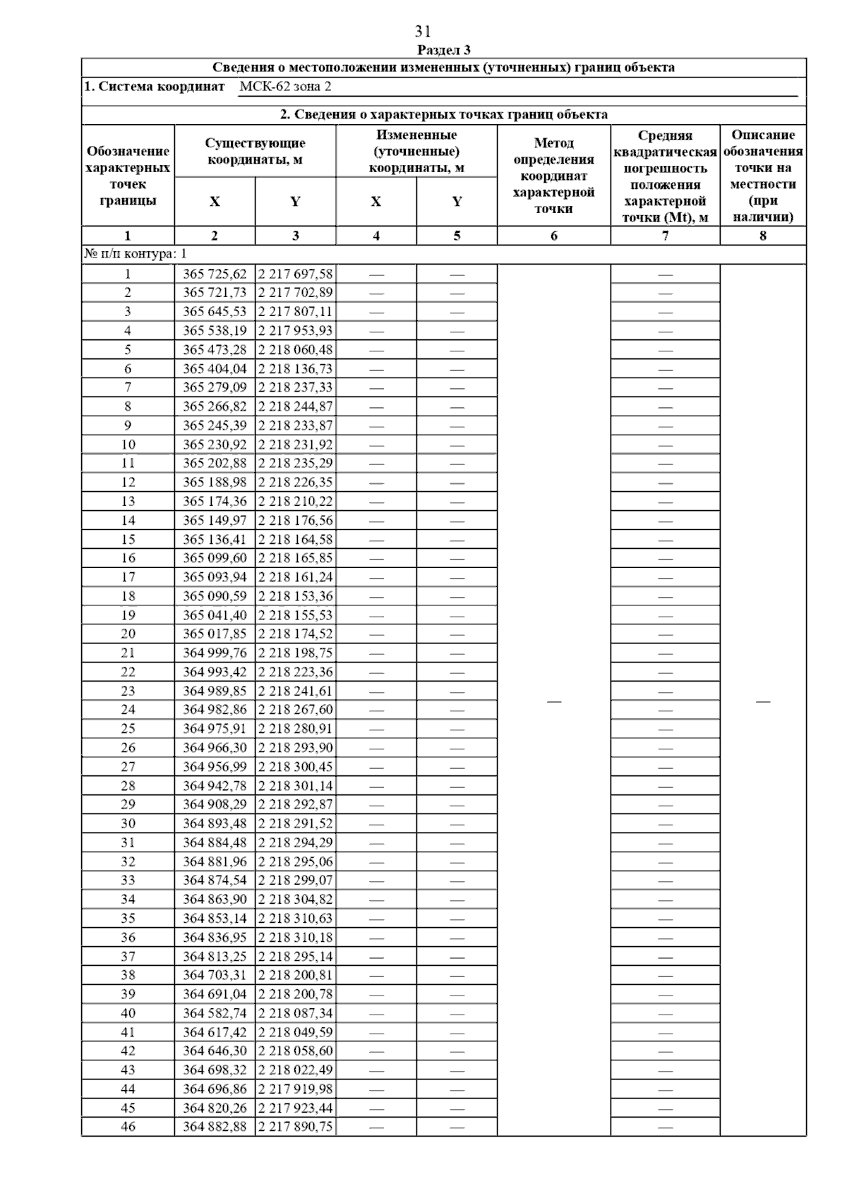
Страница №41 из 72:
Увеличить