Официальное опубликование правовых актов
ОФИЦИАЛЬНОЕ ОПУБЛИКОВАНИЕ
Постановление Главного управления архитектуры и градостроительства Рязанской области от 24.01.2025 № 72-п
"Об утверждении правил землепользования и застройки муниципального образования – Можарское сельское поселение Сараевского муниципального района Рязанской области"
(Зарегистрирован 24.01.2025 № 103)
Номер опубликования: 6201202501290001
Дата опубликования: 29.01.2025
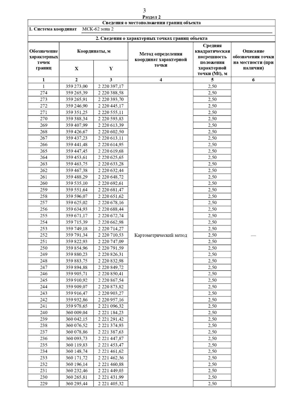
Страница №31 из 77:
Увеличить