Официальное опубликование правовых актов
ОФИЦИАЛЬНОЕ ОПУБЛИКОВАНИЕ
Постановление Главного управления архитектуры и градостроительства Рязанской области от 23.01.2025 № 68-п
"Об утверждении изменений в правила землепользования и застройки муниципального образования - Михайловское городское поселение Михайловского муниципального района Рязанской области"
(Зарегистрирован 24.01.2025 № 98)
Номер опубликования: 6201202501280004
Дата опубликования: 28.01.2025
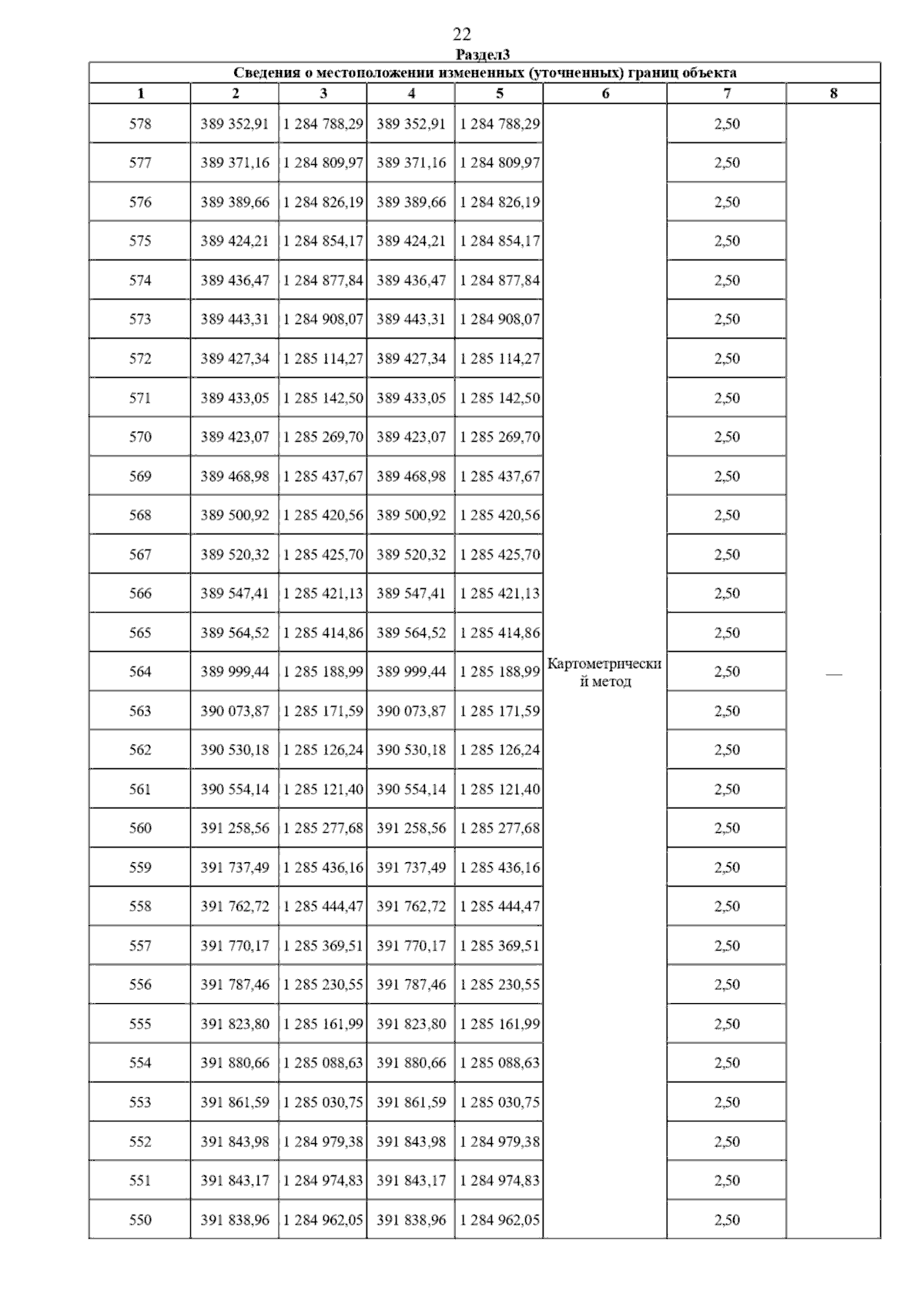
Страница №217 из 273:
Увеличить