Официальное опубликование правовых актов
ОФИЦИАЛЬНОЕ ОПУБЛИКОВАНИЕ
Постановление Главного управления архитектуры и градостроительства Рязанской области от 15.01.2025 № 23-п
"Об утверждении изменений в правила землепользования и застройки муниципального образования – Большеподовечинское сельское поселение Милославского муниципального района Рязанской области"
(Зарегистрирован 15.01.2025 № 31)
Номер опубликования: 6201202501200014
Дата опубликования: 20.01.2025
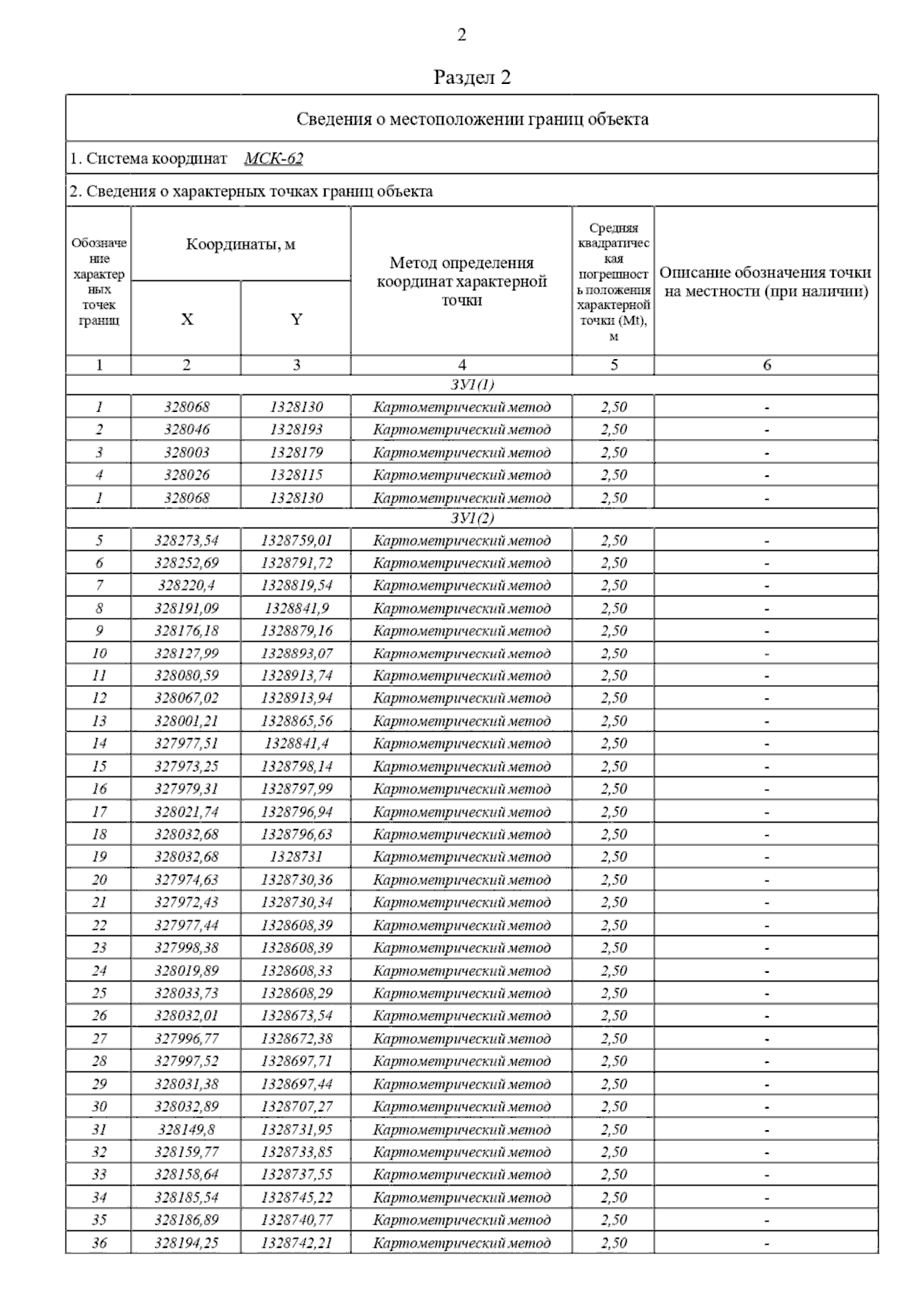
Страница №55 из 72:
Увеличить