Официальное опубликование правовых актов
ОФИЦИАЛЬНОЕ ОПУБЛИКОВАНИЕ
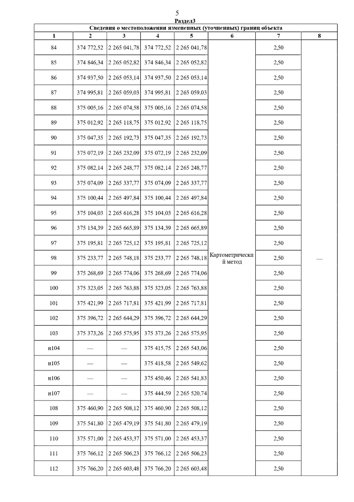
Постановление Главного управления архитектуры и градостроительства Рязанской области от 14.01.2025 № 21-п
"Об утверждении изменений в генеральный план муниципального образования – Чернослободское сельское поселение Шацкого муниципального района Рязанской области"
(Зарегистрирован 15.01.2025 № 29)
Номер опубликования: 6201202501200002
Дата опубликования: 20.01.2025
Страница №7 из 10:
Увеличить