Официальное опубликование правовых актов
ОФИЦИАЛЬНОЕ ОПУБЛИКОВАНИЕ
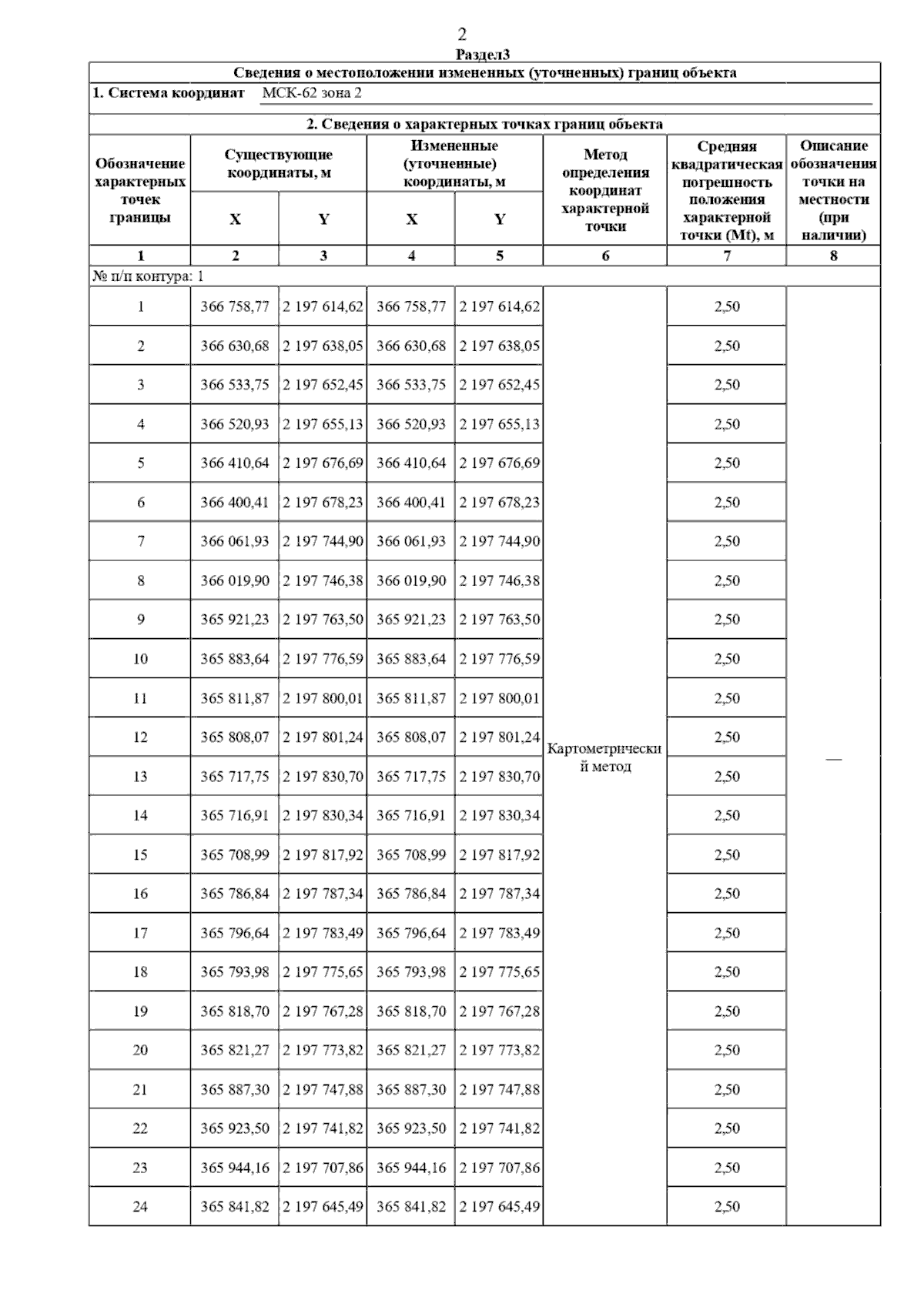
Постановление Главного управления архитектуры и градостроительства Рязанской области от 09.01.2025 № 13-п
"Об утверждении изменений в правила землепользования и застройки муниципального образования - Сапожковское городское поселение Сапожковского муниципального района Рязанской области"
(Зарегистрирован 13.01.2025 № 15)
Номер опубликования: 6201202501150012
Дата опубликования: 15.01.2025
Страница №53 из 60:
Увеличить