Официальное опубликование правовых актов
ОФИЦИАЛЬНОЕ ОПУБЛИКОВАНИЕ
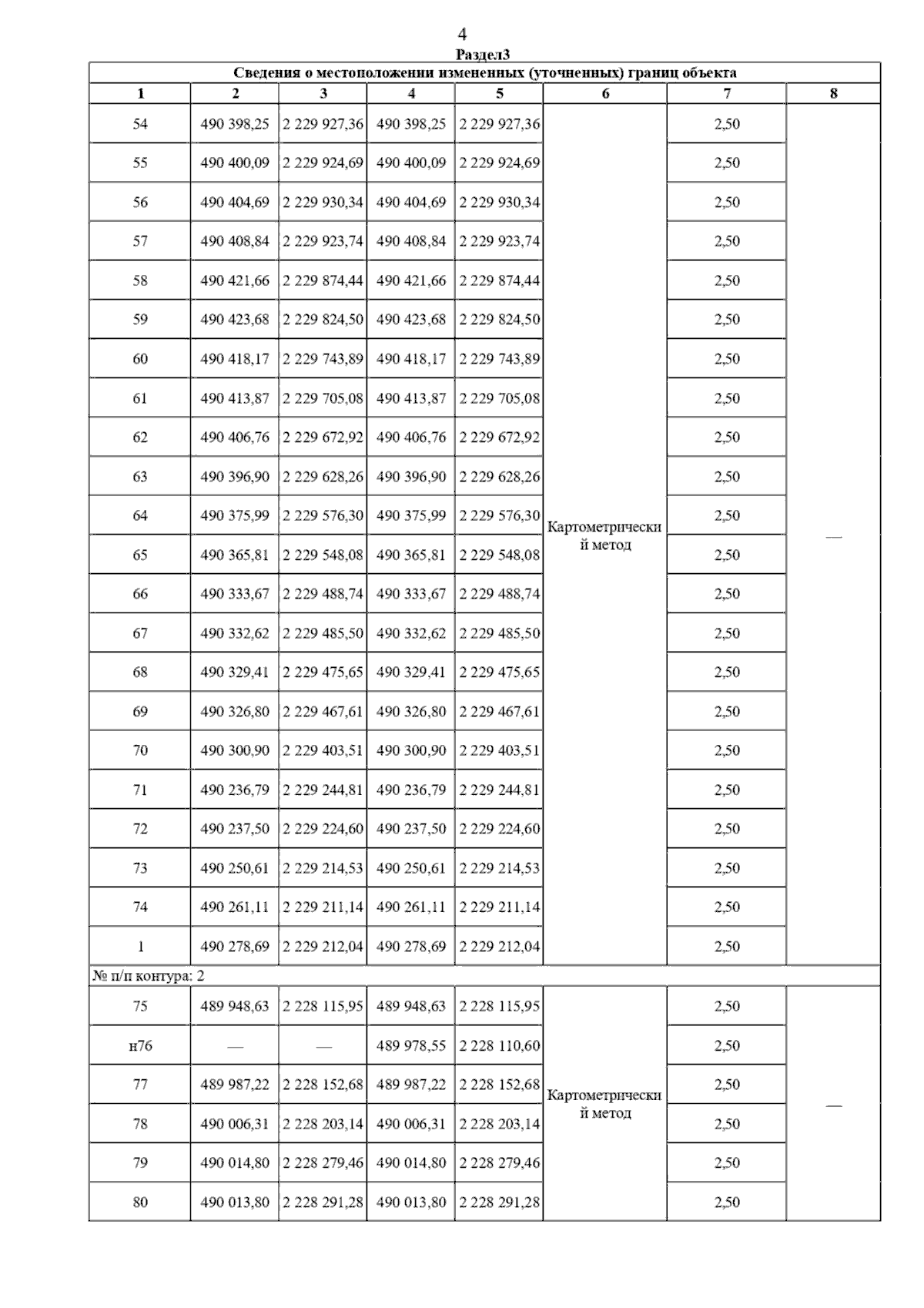
Постановление Главного управления архитектуры и градостроительства Рязанской области от 20.12.2024 № 795-п
"Об утверждении изменений в правила землепользования и застройки муниципального образования – Гусевское городское поселение Касимовского муниципального района Рязанской области"
(Зарегистрирован 23.12.2024 № 1616)
Номер опубликования: 6201202412260040
Дата опубликования: 26.12.2024
Страница №6 из 8:
Увеличить