Официальное опубликование правовых актов
ОФИЦИАЛЬНОЕ ОПУБЛИКОВАНИЕ
Постановление Главного управления архитектуры и градостроительства Рязанской области от 19.12.2024 № 765-п
"Об утверждении изменений в правила землепользования и застройки муниципального образования – Инякинское сельское поселение Шиловского муниципального района Рязанской области"
(Зарегистрирован 20.12.2024 № 1580)
Номер опубликования: 6201202412250013
Дата опубликования: 25.12.2024
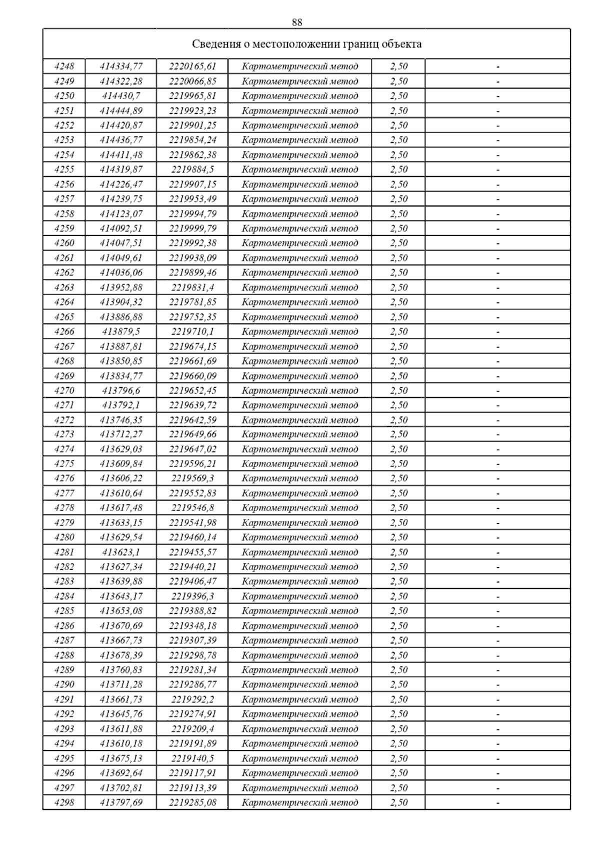
Страница №90 из 308:
Увеличить