Официальное опубликование правовых актов
ОФИЦИАЛЬНОЕ ОПУБЛИКОВАНИЕ
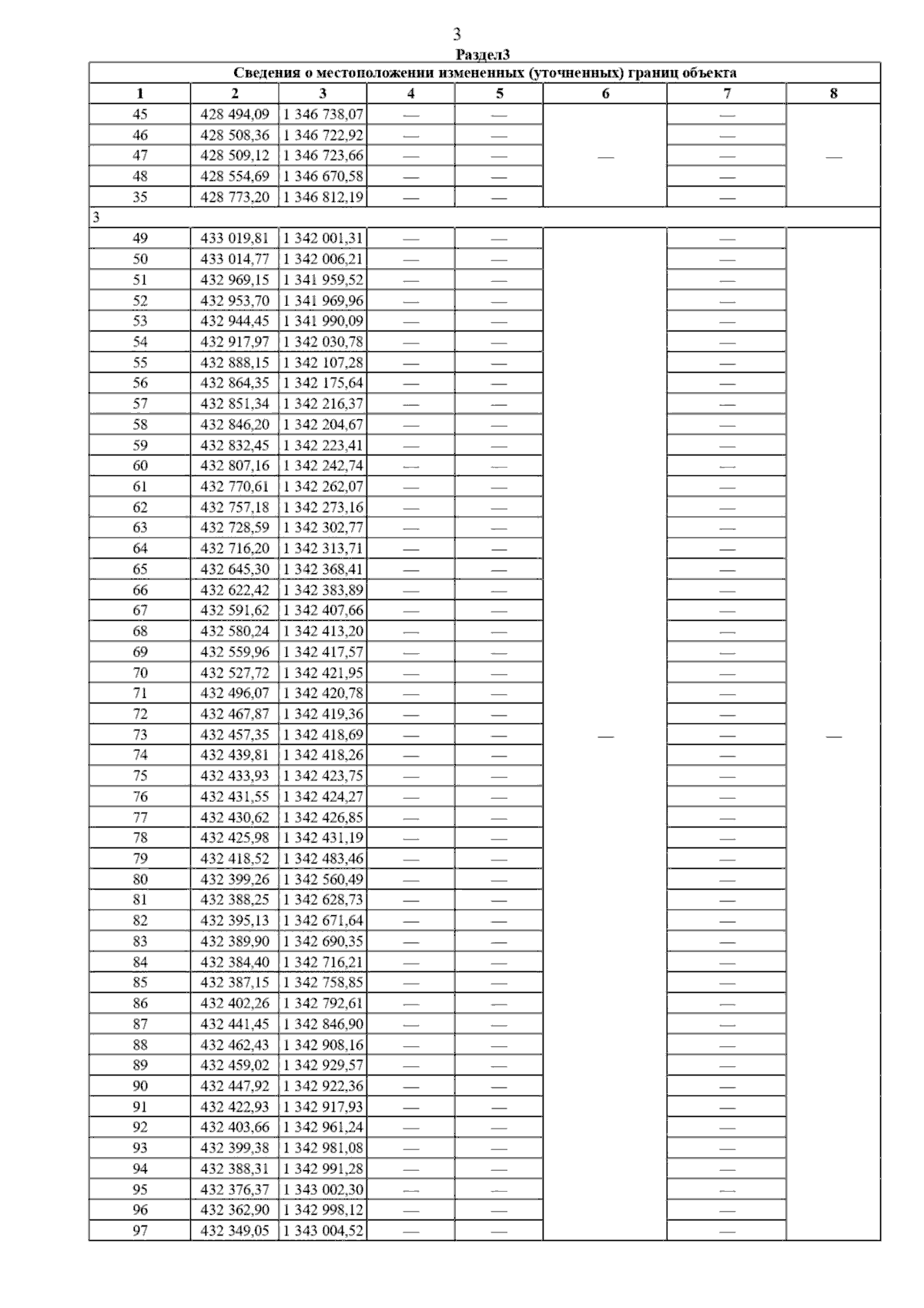
Постановление Главного управления архитектуры и градостроительства Рязанской области от 19.12.2024 № 763-п
"Об утверждении изменений в правила землепользования и застройки муниципального образования – Листвянское сельское поселение Рязанского муниципального района Рязанской области"
(Зарегистрирован 20.12.2024 № 1578)
Номер опубликования: 6201202412250012
Дата опубликования: 25.12.2024
Страница №55 из 90:
Увеличить