Официальное опубликование правовых актов
ОФИЦИАЛЬНОЕ ОПУБЛИКОВАНИЕ
Постановление Главного управления архитектуры и градостроительства Рязанской области от 17.12.2024 № 743-п
"Об утверждении изменений в правила землепользования и застройки муниципального образования - Кипчаковское сельское поселение Кораблинского муниципального района Рязанской области"
(Зарегистрирован 17.12.2024 № 1527)
Номер опубликования: 6201202412200008
Дата опубликования: 20.12.2024
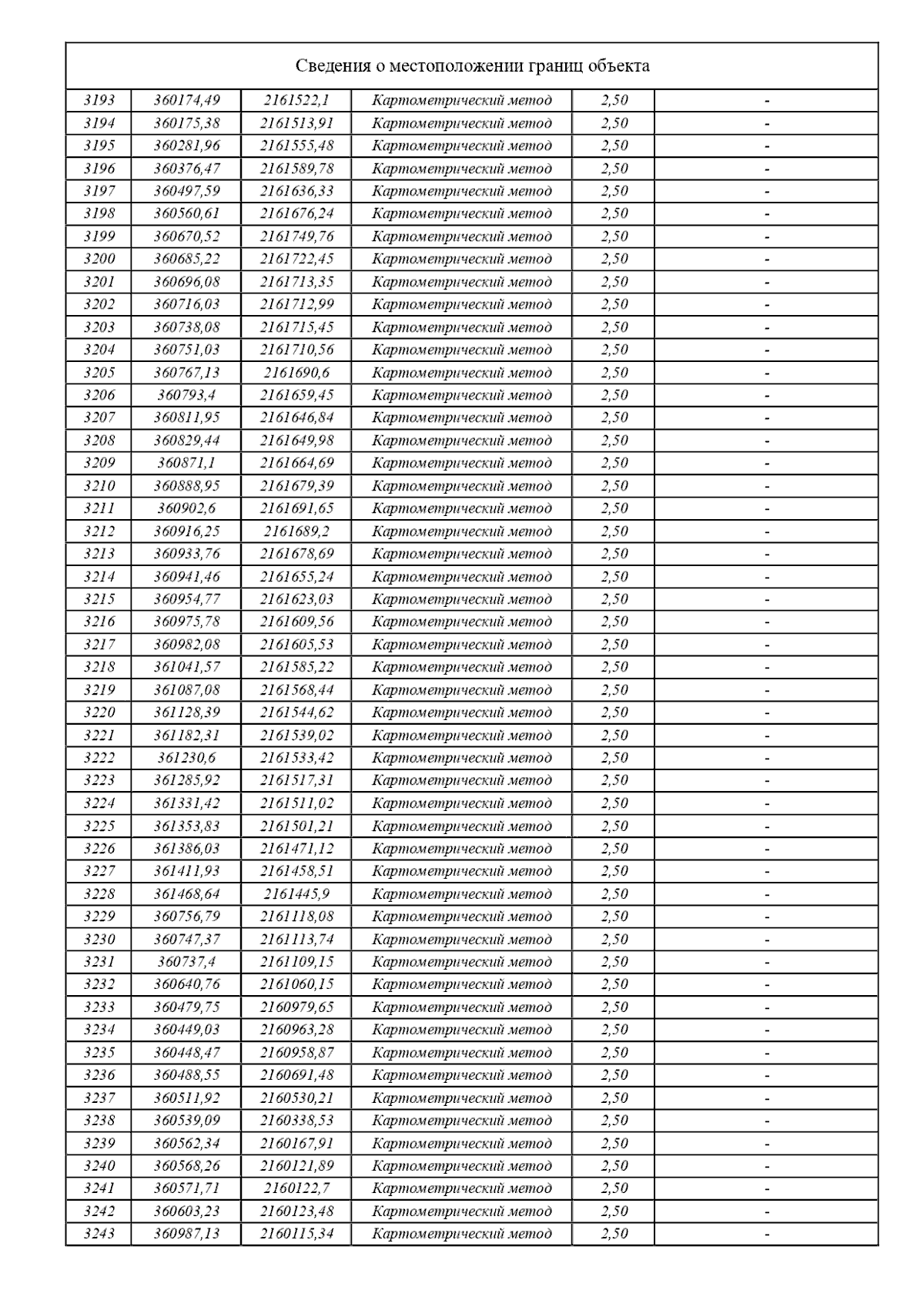
Страница №70 из 98:
Увеличить