Постановление Главного управления "Региональная энергетическая комиссия" Рязанской области от 12.12.2024 № 283
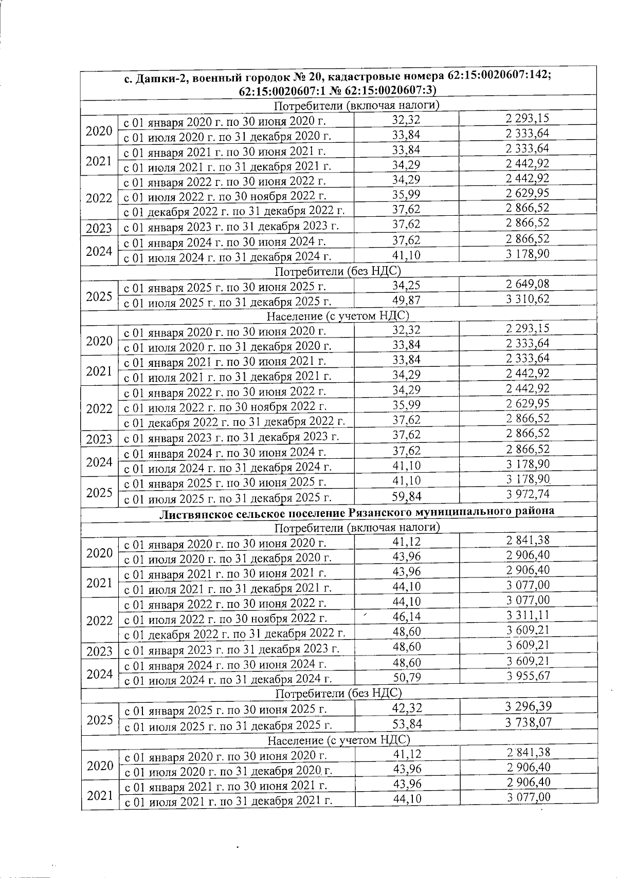
"О внесении изменений в постановление ГУ РЭК Рязанской области от 17 декабря 2019 г. № 380 "Об установлении тарифов на горячую воду для потребителей МКП "ЖКХ Рязанское" в Окском и Листвянском сельских поселениях Рязанского муниципального района"
(Зарегистрирован 16.12.2024 № 1489)
"О внесении изменений в постановление ГУ РЭК Рязанской области от 17 декабря 2019 г. № 380 "Об установлении тарифов на горячую воду для потребителей МКП "ЖКХ Рязанское" в Окском и Листвянском сельских поселениях Рязанского муниципального района"
(Зарегистрирован 16.12.2024 № 1489)
Номер опубликования: 6201202412190022
Дата опубликования:
19.12.2024
