Официальное опубликование правовых актов
ОФИЦИАЛЬНОЕ ОПУБЛИКОВАНИЕ
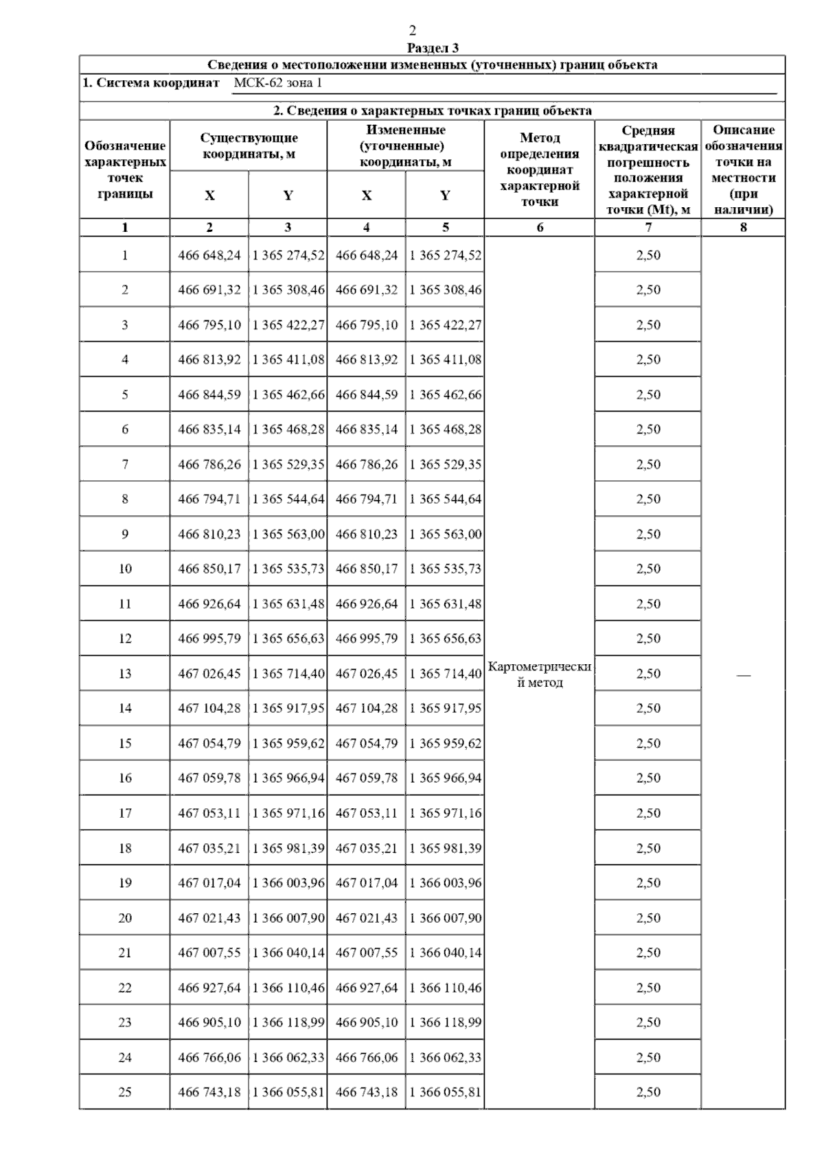
Постановление Главного управления архитектуры и градостроительства Рязанской области от 13.12.2024 № 732-п
"Об утверждении изменений в правила землепользования и застройки муниципального образования – Заборьевское сельское поселение Рязанского муниципального района Рязанской области"
(Зарегистрирован 13.12.2024 № 1470)
Номер опубликования: 6201202412180030
Дата опубликования: 18.12.2024
Страница №12 из 19:
Увеличить