Официальное опубликование правовых актов
ОФИЦИАЛЬНОЕ ОПУБЛИКОВАНИЕ
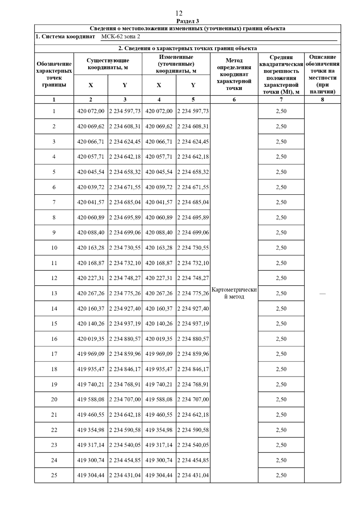
Постановление Главного управления архитектуры и градостроительства Рязанской области от 06.12.2024 № 713-п
"Об утверждении генерального плана муниципального образования – Аделинское сельское поселение Шиловского муниципального района Рязанской области"
(Зарегистрирован 10.12.2024 № 1429)
Номер опубликования: 6201202412160009
Дата опубликования: 16.12.2024
Страница №21 из 57:
Увеличить